Предмет: Математика, автор: Pochetnuygramotey

помогите пожалуйста разобраться ​

Приложения:

Ответы

Автор ответа: aristoktararistokrat
0

Ответ:

Прикрепил два фото(листайте вправо)

Пошаговое объяснение:

/- это дробь

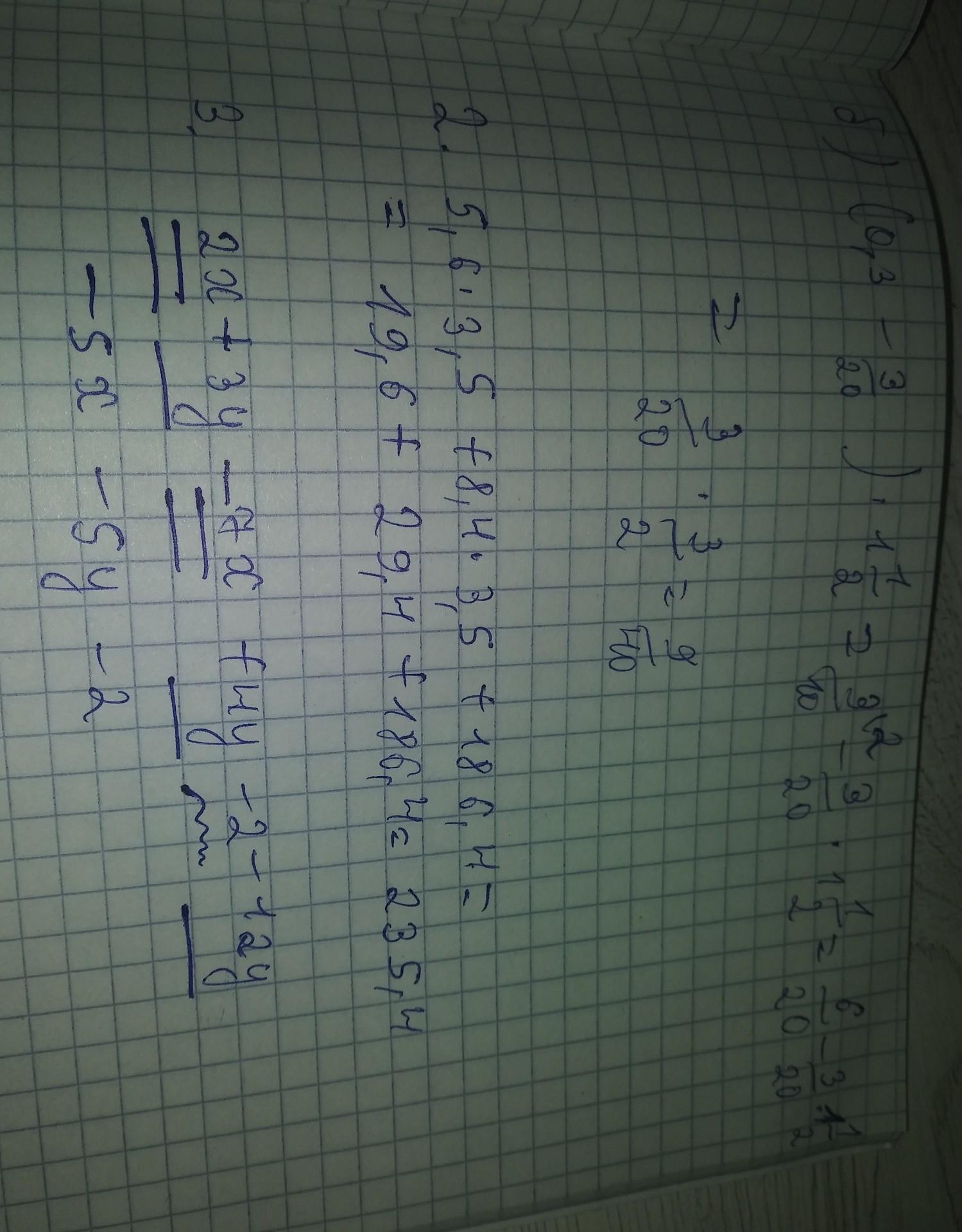
1 задание дроби, ответы:

а)6 1/2

б)9/40

2 задание:

После подставления значения а при 3,5,умножаете и далее складываете результаты, ответ:

235,4

3 задание:

1)2x-7x

2)3y+4y-12y=7y-12y=-5y

3)-2

В итоге:

-5x-5y-2

Приложения:

Pochetnuygramotey: спасибо большое
Pochetnuygramotey: ⭐⭐⭐⭐⭐⭐⭐⭐
Pochetnuygramotey: помогите пожалуйста разобраться в моём профиле
Pochetnuygramotey: ❤❤❤❤❤❤❤
Похожие вопросы
Предмет: Французский язык, автор: 3455667777
Предмет: Английский язык, автор: znad
Предмет: Английский язык, автор: трнвчполт755