Предмет: Алгебра,
автор: bogdanziysenko
Помогите пожалуйста
Приложения:
Ответы
Автор ответа:
1
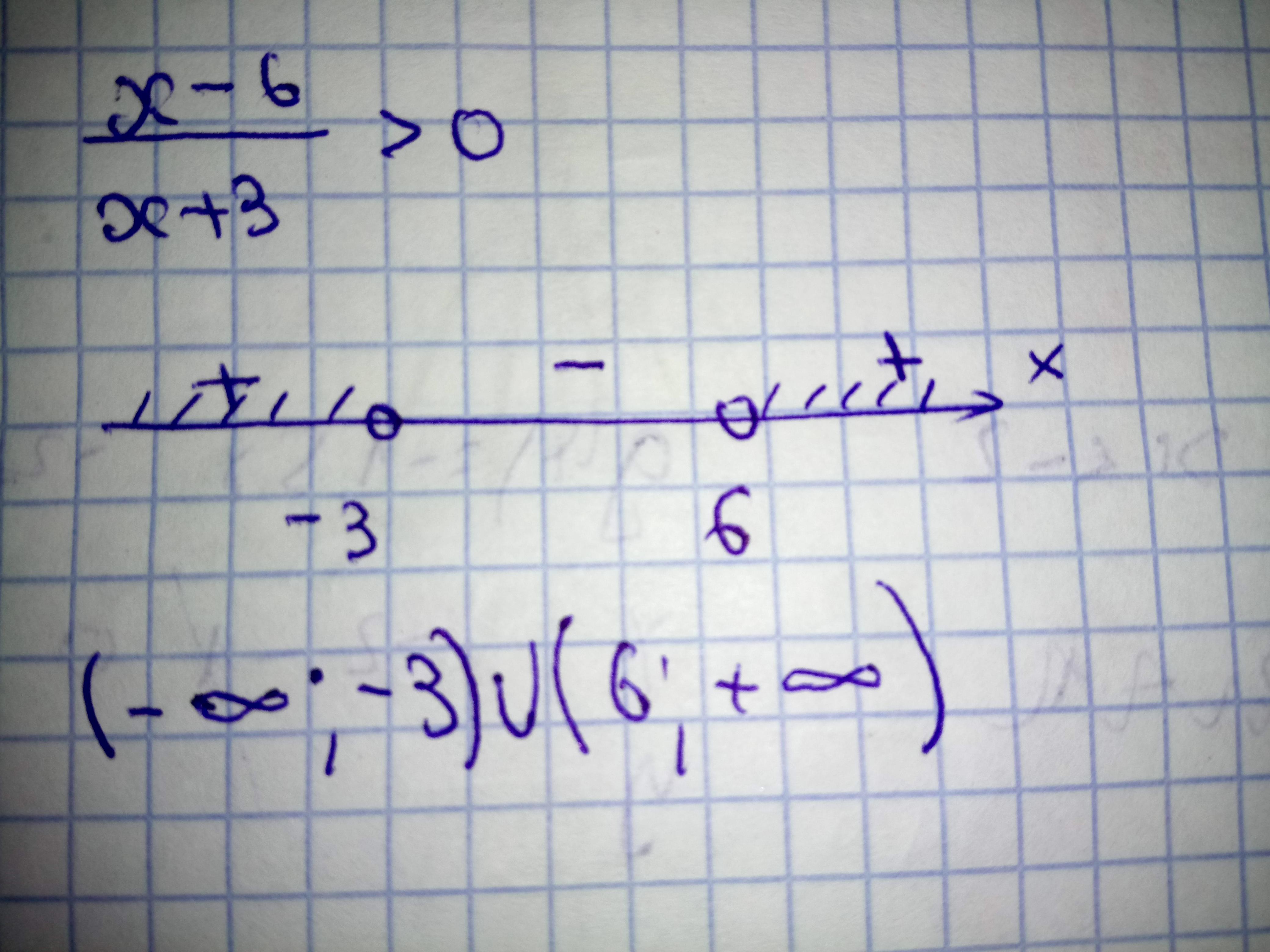
Решение задания прилагаю
Приложения:
Похожие вопросы
Предмет: Русский язык,
автор: Аркадий100904
Предмет: Другие предметы,
автор: Верон2004
Предмет: Русский язык,
автор: Karishka24218
Предмет: Математика,
автор: kfjdoejfkbfodn
Предмет: География,
автор: пвспвямиррас