Предмет: Геометрия,
автор: SaraStoney
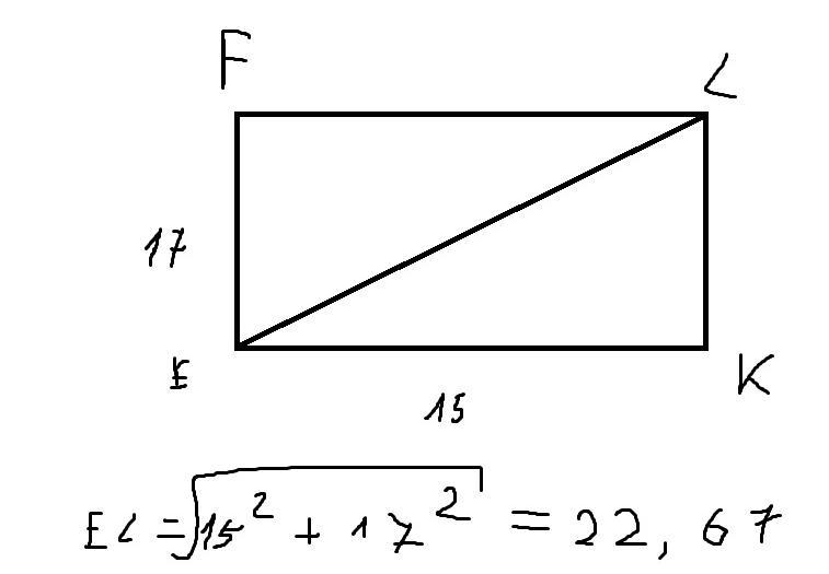
дан прямоугольник EFLK EK медиана, которая равна 17см, EF равен 15см. Найти: LE
Ответы
Автор ответа:
0
Ответ:
я не знаю как у тебя сторона прямоугольника стала медианой но окей
Объяснение:
Приложения:
Похожие вопросы
Предмет: Қазақ тiлi,
автор: мамуля36
Предмет: Технология,
автор: Олеся1415
Предмет: Русский язык,
автор: Макс228906
Предмет: Геометрия,
автор: lassi3005
Предмет: Английский язык,
автор: nastin2345