Предмет: Алгебра, автор: popzvezda2003

Найдите фундаментальную систему решений

Приложения:

Ответы

Автор ответа: Удачник66
1

Ответ:

Объяснение:

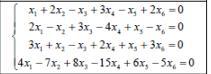
Первая система линейных уравнений:

\left \{ \begin {array}{cccc} x1+2*x2-x3+3*x4-x5+2*x6=0 \\ 2*x1-x2+3*x3-4*x4+x5-x6=0 \\ 3*x1+x2-x3+2*x4+x5+3*x6=0 \\ 4*x1-7*x2+8*x3-15*x4+6*x5-5*x6=0 \end{array}\right

1-ое уравнение умножаем на -2 и складываем со 2-ым уравнением.

1-ое уравнение умножаем на -3 и складываем с 3-им уравнением.

1-ое уравнение умножаем на -4 и складываем с 4-ым уравнением.

Получаем нули при x1 во всех уравнениях, кроме 1-го:

\left \{ \begin {array}{cccc} x1+2*x2-x3+3*x4-x5+2*x6=0 \\ 0*x1-5*x2+5*x3-10*x4+3*x5-5*x6=0 \\ 0*x1-5*x2+2*x3-7*x4+4*x5-3*x6=0 \\ 0*x1-15*x2+12*x3-27*x4+10*x5-13*x6=0 \end{array}\right

2-ое уравнение умножаем на -1 и складываем с 3-им уравнением.

2-ое уравнение умножаем на -3 и складываем с 4-ым уравнением.

Получаем нули при x2 во всех уравнениях, кроме 1-го и 2-го:

\left \{ \begin {array}{cccc} x1+2*x2-x3+3*x4-x5+2*x6=0 \\ 0*x1-5*x2+5*x3-10*x4+3*x5-5*x6=0 \\ 0*x1+0*x2-3*x3+3*x4+x5+2*x6=0 \\ 0*x1+0*x2-3*x3+3*x4+x5+2*x6=0 \end{array}\right

3-ье и 4-ое уравнения получились одинаковыми, 4-ое отбрасываем:

\left \{ \begin {array}{ccc} x1+2*x2-x3+3*x4-x5+2*x6=0 \\ 0*x1-5*x2+5*x3-10*x4+3*x5-5*x6=0 \\ 0*x1+0*x2-3*x3+3*x4+x5+2*x6=0\end{array}\right

Получилась система, из которой можно получить фундаментальное решение:

x4, x5, x6 ∈ R

x3=\frac{3*x4+x5+2*x6}{3}=x4+\frac{x5}{3}+\frac{2*x6}{3}

x2=\frac{5*x3-10*x4+3*x5-5*x6}{5} =x3-2*x4+\frac{3*x5}{5} -x6=\\ =x4+\frac{x5+2*x6}{3} -2*x4+\frac{3*x5}{5} -\frac{3*x6}{3}=-x4+\frac{14*x5}{15}-\frac{x6}{3}

x2=-x4+\frac{14*x5}{15}-\frac{x6}{3}

x1=-2*x2+x3-3*x4+x5-2*x6=\\ =2*x4-\frac{28*x5}{15}+\frac{2*x6}{3}  +x4+\frac{5*x5}{15}+\frac{2*x6}{3} -3*x4+\frac{15*x5}{15}-\frac{6*x6}{3}  =\\ =0*x4 -\frac{8*x5}{15}-\frac{2*x6}{3}

x1=-\frac{8*x5}{15}-\frac{2*x6}{3}

Вторая система решается точно также.

\left \{ \begin{array}{cccc} x1-2*x2+x3-x4+x5=0 \\ 2*x1+x2-x3+2*x4-3*x5=0 \\ 3*x1-2*x2-x3+x4-2*x5=0 \\ 2*x1-5*x2+x3-2*x4+2*x5=0 \end{array}\right.

1-ое уравнение умножаем на -2 и складываем со 2-ым уравнением.

1-ое уравнение умножаем на -3 и складываем с 3-им уравнением.

1-ое уравнение умножаем на -2 и складываем с 4-ым уравнением.

Получаем нули при x1 во всех уравнениях, кроме 1-го:

\left \{ \begin{array}{cccc} x1-2*x2+x3-x4+x5=0 \\ 0*x1+5*x2-3*x3+4*x4-5*x5=0 \\ 0*x1+4*x2-4x3+4*x4-5*x5=0 \\ 0*x1-x2-x3+0*x4+0*x5=0 \end{array}\right.

4-ое уравнение ставим 2-ым, от этого система не меняется:

\left \{ \begin{array}{cccc} x1-2*x2+x3-x4+x5=0 \\ 0*x1-x2-x3+0*x4+0*x5=0 \\ 0*x1+5*x2-3*x3+4*x4-5*x5=0 \\ 0*x1+4*x2-4x3+4*x4-5*x5=0 \end{array}\right.

2-ое уравнение умножаем на 5 и складываем с 3-им уравнением.

2-ое уравнение умножаем на 4 и складываем с 4-ым уравнением.

Получаем нули при x2 во всех уравнениях, кроме 1-го и 2-го:

\left \{ \begin{array}{cccc} x1-2*x2+x3-x4+x5=0 \\ 0*x1-x2-x3+0*x4+0*x5=0 \\ 0*x1+0*x2-8*x3+4*x4-5*x5=0 \\ 0*x1+0*x2-8*x3+4*x4-5*x5=0 \end{array}\right.

3-ье и 4-ое уравнения получились одинаковыми, 4-ое отбрасываем:

\left \{ \begin{array}{ccc} x1-2*x2+x3-x4+x5=0 \\ 0*x1-x2-x3+0*x4+0*x5=0 \\ 0*x1+0*x2-8*x3+4*x4-5*x5=0 \end{array}\right.

Получилась система, из которой можно получить фундаментальное решение:

x4, x5 ∈ R

x3=\frac{4*x4-5*x5}{8}=\frac{x4}{2} -\frac{5*x5}{8}

x2=-x3=-\frac{x4}{2}+\frac{5*x5}{8}

x1=2*x2-x3+x4-x5=-\frac{2x4}{2}+\frac{10*x5}{8}  -\frac{x4}{2}+\frac{5*x5}{8} +\frac{2*x4}{2}-\frac{8*x5}{8} =\\ =-\frac{x4}{2}+\frac{7*x5}{8}

x1=-\frac{x4}{2}+\frac{7*x5}{8}


kamilmatematik100504: Лучше используйте команду \begin{cases} a \\ b \\ c \\ d \end{cases}
Чтобы систему дальше продолжить \\ (чтобы пятое уравнение добавить к примеру )
kamilmatematik100504: \displaystyle \frac{5*x_3-10*x_4+3*x_5-5*x_6}{5} =x_3-2*x_4+\frac{3*x_5}{5} -x_6\\\\x_1=-2*x_2+x_3-3*x_4+x_5-2*x_6 .
kamilmatematik100504: И команду \displaystyle нужно писать каждый раз как только вы выходите из латекса . Как я показал выше
bb573878: Kamil, приятно, что Вы делитесь своими знаниями в latex, но каждый оформляет свое решение так, как нравится ему, понятие о красоте у всех разное.. например, кому-то может не понравиться как здесь написан итоговый ответ: https://znanija.com/task/47424909
kamilmatematik100504: Нет ; я просто уже общался с ним ; и знаю что ему это может пригодиться
Удачник66: Спасибо, Камил, мне это действительно пригодится. Система по умолчанию оформляется через /atop и я не знал про этот {cases}. Тот список команд надо будет внимательнее изучить.
Удачник66: bb573878, роскошно там ответ написан!
Похожие вопросы
Предмет: Русский язык, автор: ьаьп1