Предмет: Математика,
автор: Аноним
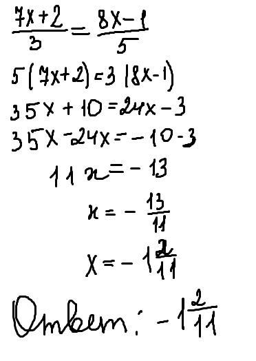
b) (7x + 2)/3 = (8x - 1)/5
даю 20 баллов
Приложения:
Ответы
Автор ответа:
1
смотрите решение на фото
Приложения:
Похожие вопросы
Предмет: Русский язык,
автор: bachabuzuk
Предмет: Английский язык,
автор: Аноним
Предмет: Английский язык,
автор: игорь286
Предмет: Математика,
автор: danil01092009
Предмет: Русский язык,
автор: kontra200013