Предмет: Математика,
автор: anya302776
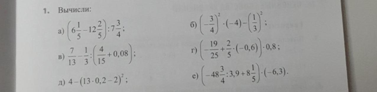
Помогите пожалуйста очень прошу умоляю вас просто
Приложения:
Ответы
Автор ответа:
0
Пошаговое объяснение:
а) - 6 1/5 : 7 3/4 = -4/5
в) -1/3 : 26/75 = -25/26
7/13 - (-25/26) = 1 1/2
д) В скобках 0,6, возводим во 2 степени = 0,36
4 - 0,36 = 3,64
б) -3/4 = 9/16
1/3= 1/9
9/16 * -4 = -2 1/4
-2 1/4 - 1/9= -2 13/36
г) 2/5* -0.6 = -6/25
-19/25 + -6/25 = -1
-1*0,8 = -0,8
е) -48 3/4 : 3,9 = -12 1/2
-12 1/2 + 8 1/5 = -4,3
-4,3*-6,3 = 27.09
Похожие вопросы
Предмет: Қазақ тiлi,
автор: mrurazumbetov2004
Предмет: Русский язык,
автор: maximmax84
Предмет: Українська мова,
автор: Снайпер152016
Предмет: Математика,
автор: 3453861
Предмет: Математика,
автор: selimovvaleric