Предмет: Математика, автор: Аноним

Розпишіть будь ласка!

Приложения:

Ответы

Автор ответа: Fire1ce
2

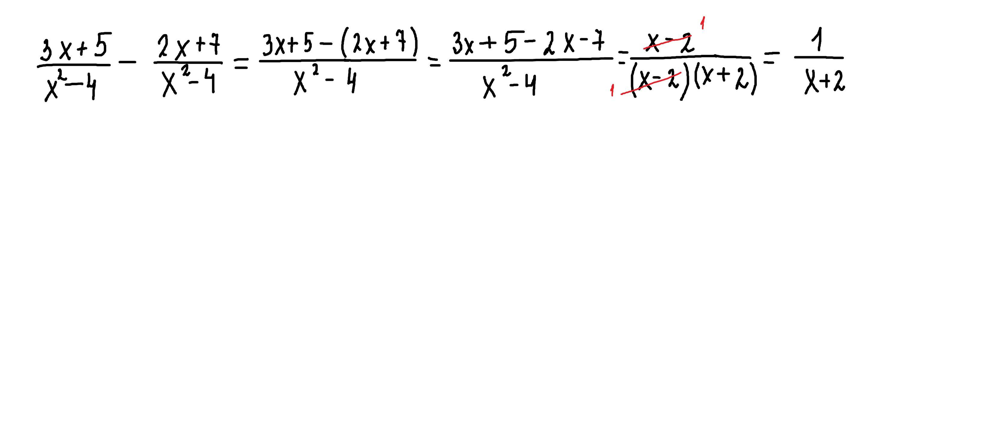
 \frac{3x + 5}{ {x}^{2}  - 4}  -  \frac{2x + 7}{{x}^{2}  - 4}  \\ \\  \frac{3x + 5 - (2x + 7)}{{x}^{2}  - 4}  \\ \\ \frac{3x + 5 - 2x  -  7}{{x}^{2}  - 4} \\ \\  \frac{x - 2}{(x - 2)(x + 2)}  \\ \\ \frac{1}{x + 2}

Відповідь: 1/(х+2)

Автор ответа: parus77
0

Ответ:

1/(x+2)

Пошаговое объяснение:

раскладываем знаменатель по формуле а²-в²= (а-в)(а+в)

Приложения:
Похожие вопросы
Предмет: Русский язык, автор: кошка288
Предмет: Русский язык, автор: dominikasurikova