Предмет: Математика,
автор: djastinajane
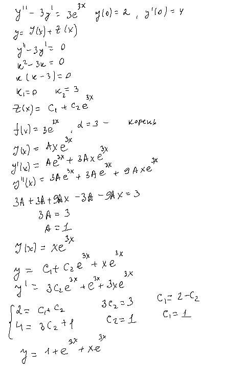
Найти частное решение линейного неоднородного дифференциального уравнения второго порядка, удовлетворяющее ее начальным условиям
y''-3y'=3e^3x
y(0)=0;
y'(0)=4;
Приложения:
Ответы
Автор ответа:
1
Ответ:
Пошаговое объяснение:
Приложения:
Похожие вопросы
Предмет: Русский язык,
автор: abeldinova1992
Предмет: Русский язык,
автор: алтын90
Предмет: Русский язык,
автор: Тиона
Предмет: Русский язык,
автор: llaauurriiss2pekvbv
Предмет: Геометрия,
автор: ustinabelikova