Предмет: Алгебра, автор: kolya28082008

1) Знайти значення
а) 5•2³-3²
б) (-4)⁰+(-1)³

2) Подати у вигляді степеня
а) c⁴•c⁷:c⁹
б)(a⁴)³•a
в)16x⁴
г)(c⁴)²•c³
д) ((a³)²)⁴

Ответы

Автор ответа: ReMiDa
6

Объяснение:

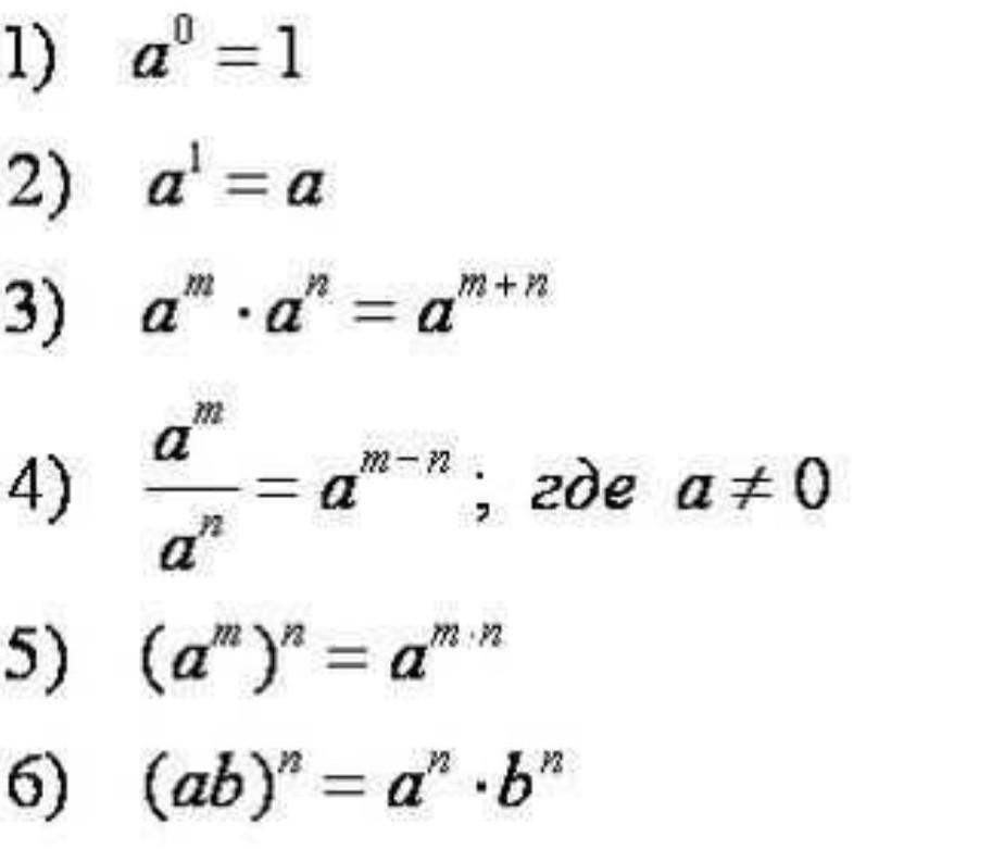
1) Возвести число в степень - это перемножить это число само на себя определённое число раз (это число раз равно показателю степени).

Любое число в степени 0 равно 1: а⁰=1

a) \: 5 \times  {2}^{3 }  -  {3}^{2}  = 5 \times 8 - 9 = 40 - 9 = 31 \\ b) \:  {( - 4)}^{0}  +  {( - 1)}^{3}  = 1 - 1 = 0

2) При умножении показатели степеней складываются, при делении - вычитаются.

При возведении в n-ную степень числа в степени m, показатели перемножаются.

a) {c}^{4}  \times  {c}^{7}  \div  {c}^{9}  =  {c}^{4 + 7 - 9}  =  {c}^{2}  \\ b) { {(a}^{4} )}^{3}  \times  {a}^{1}  =  {a}^{4 \times 3 + 1}  =  {a}^{13}  \\ v)16 {x}^{4}  =  {2}^{4}  {x}^{4}  =  {(2x)}^{4}  \\ g)  { {(c}^{4} )}^{2}  \times  {c}^{3}  =  {c}^{4 \times 2 + 3}  =  {c}^{11}  \\ d) { { {((a}^{3} )}^{2}) }^{4}  =  { {(a}^{6}) }^{4}  =  {a}^{6 \times 4}  =  {a}^{24}

Приложения:
Похожие вопросы
Предмет: Русский язык, автор: pollimak