Предмет: Математика,
автор: djastinajane
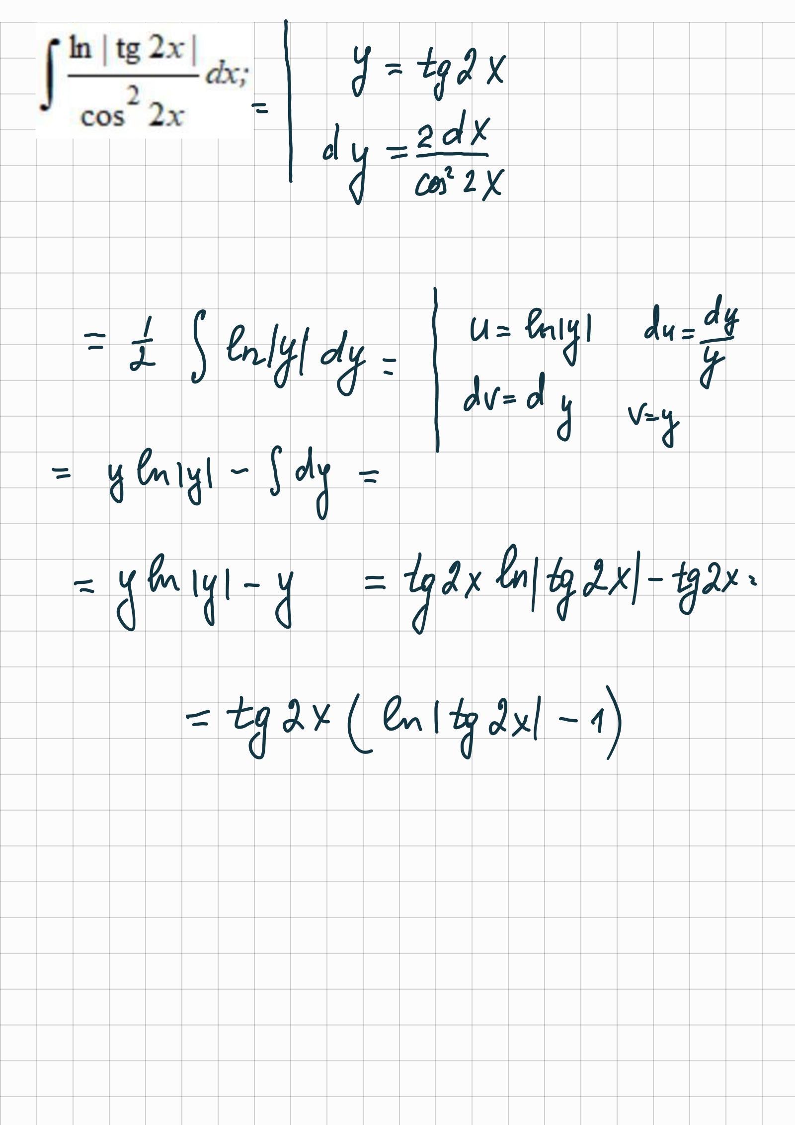
Неопределенный интеграл -_-
Помогите найти!
Приложения:
Ответы
Автор ответа:
1
Відповідь:
Покрокове пояснення:
Приложения:
Похожие вопросы
Предмет: Русский язык,
автор: miraxmedova
Предмет: Українська мова,
автор: Myrena78
Предмет: Русский язык,
автор: жека351
Предмет: Математика,
автор: ljbov20081
Предмет: Русский язык,
автор: dana090673