Предмет: Алгебра, автор: bb573878

Решите неравенство
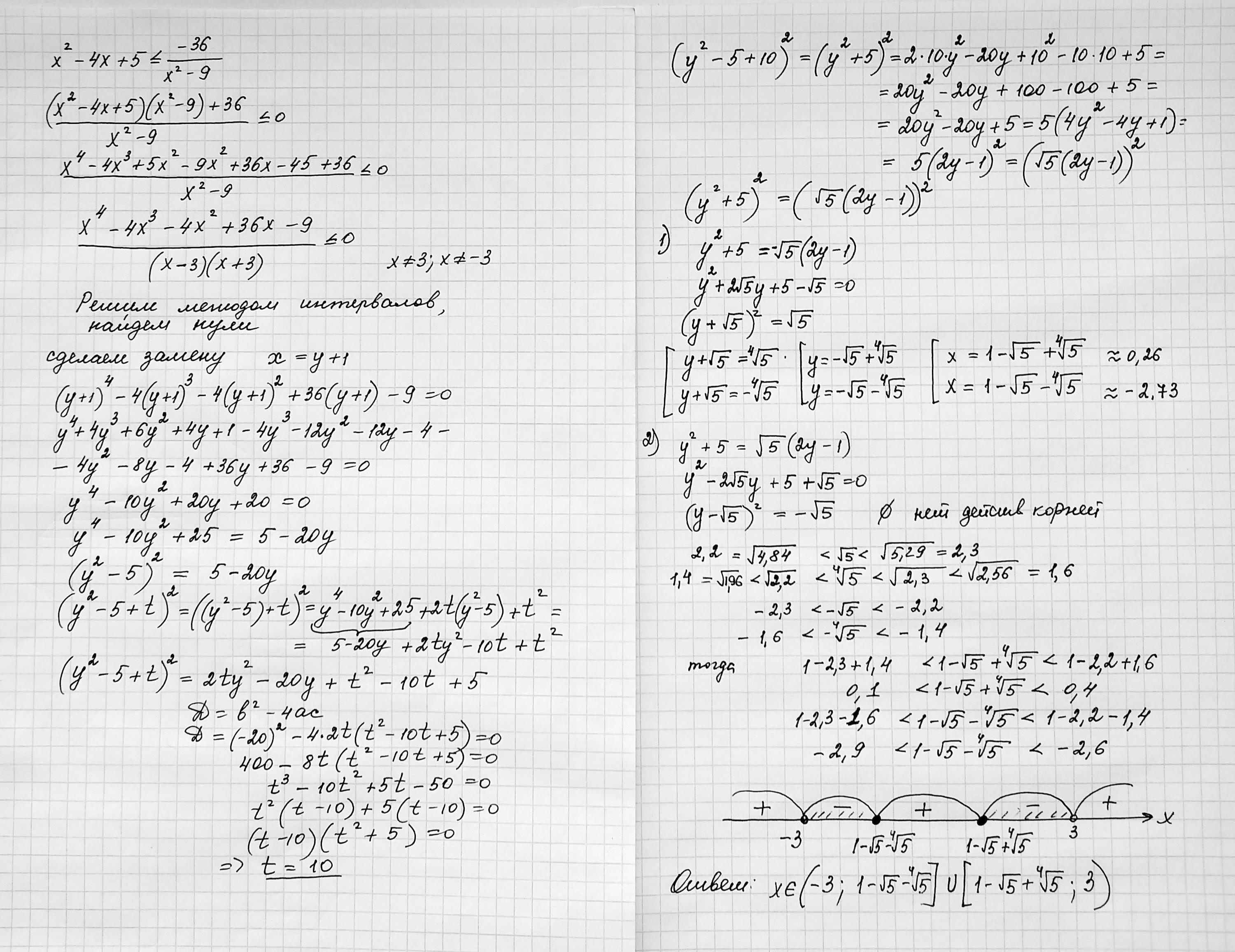
\boldsymbol{x^2-4x+5\leq \dfrac{-36}{x^2-9} }


orjabinina: Было же решение.....

Ответы

Автор ответа: ВладимирБ
18

Ответ:

Объяснение:

ответ на фото

Приложения:

orjabinina: а попроще решения нет?
bb573878: ВладимирБ, спасибо
orjabinina: Конечно , СПАСИБО ! Да во всем......прием замены...Разве ученик сможет в условиях егэ додумать...
ВладимирБ: Скорее всего, это не егэ, а олимпиадная задача
omarovakrom015: спасибоо
GalaNz: Помогите пожалуйста с математикой
Похожие вопросы
Предмет: Английский язык, автор: Nikitggizi
Предмет: Физика, автор: nik726