Предмет: Алгебра,
автор: 0755tipzsb
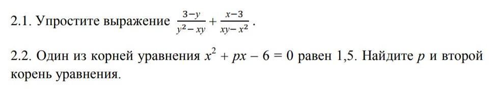
помогите пожалуйста!! 9 класс
Приложения:
Ответы
Автор ответа:
1
пожалуйста отметь ответ как лучший!!
Приложения:
Похожие вопросы
Предмет: Русский язык,
автор: tatyna25s25
Предмет: Английский язык,
автор: cat004
Предмет: Русский язык,
автор: krasotkacom2
Предмет: Биология,
автор: may020385
Предмет: Английский язык,
автор: AlisaGosteva