Предмет: Алгебра, автор: alinka9averina

СРОЧНО!!! МНОГО ДАЮ БАЛЛОВ!!!!

Приложения:

Ответы

Автор ответа: resenans
3

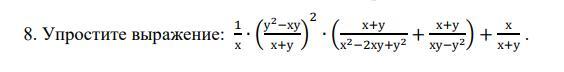
\dfrac{1}{x}\cdot\Bigg(\dfrac{y^2-xy}{x+y}\Bigg)^2\cdot\Bigg(\dfrac{x+y}{x^2-2xy+y^2}+\dfrac{x+y}{xy-y^2}\Bigg)+\dfrac{x}{x+y}=\\\\\\=\dfrac{1}{x}\cdot\dfrac{(y^2-xy)^2}{(x+y)^2}\cdot\Bigg(\dfrac{x+y}{(x-y)^2}+\dfrac{x+y}{y(x-y)}\Bigg)+\dfrac{x}{x+y}=\\\\\\=\dfrac{1}{x}\cdot\dfrac{\big(y(y-x)\big)^2}{(x+y)^2}\cdot\dfrac{y(x+y)+(x-y)(x+y)}{y(x-y)^2}+\dfrac{x}{x+y}=\\\\\\=\dfrac{1}{x}\cdot\dfrac{y^2(y-x)^2}{(x+y)^2}\cdot\dfrac{xy+y^2+x^2-y^2}{y(x-y)^2}+\dfrac{x}{x+y}=

=\dfrac{1}{x}\cdot\dfrac{y^2\big(-(x-y)\big)^2}{(x+y)^2}\cdot\dfrac{xy+x^2}{y(x-y)^2}+\dfrac{x}{x+y}=\\\\\\=\dfrac{1}{x}\cdot\dfrac{y(x-y)^2}{(x+y)^2}\cdot\dfrac{x(y+x)}{(x-y)^2}+\dfrac{x}{x+y}=\\\\\\=\dfrac{y}{x+y}+\dfrac{x}{x+y}=\dfrac{x+y}{x+y}=\boxed{1}


kurmanbekovaryskul: здравствуйте можете помочь по алгебре
Автор ответа: Warlock1
1

Ответ:

так

Объяснение:

Приложения:
Похожие вопросы
Предмет: Английский язык, автор: галина158
Предмет: Русский язык, автор: умник805
Предмет: История, автор: marina8789