Предмет: Алгебра,
автор: квитквит
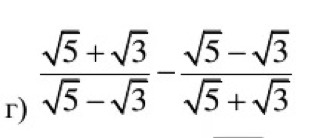
Помогите пожалуйста
Все на фото
Приложения:
Ответы
Автор ответа:
0
По идее все сокращается и равно 1
Автор ответа:
0
все сокращается и ответ будет 1
Похожие вопросы
Предмет: Биология,
автор: girdasasha06
Предмет: Физика,
автор: susin04
Предмет: Русский язык,
автор: gagagagagag53
Предмет: Геометрия,
автор: stipsel17