Предмет: Математика,
автор: astafurovadora27943
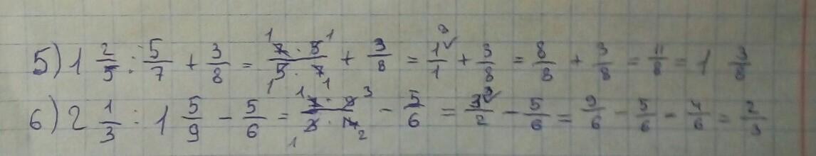
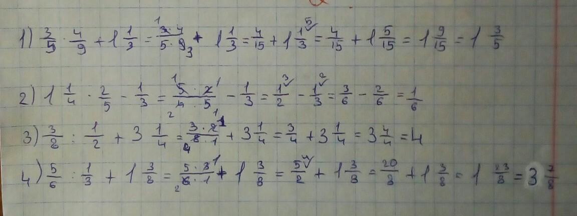
помогите пж срочно нужно по математике
Приложения:
PowerUp:
Извините за беспокойство, кто хочет в ВК пишите: Никон Шмелев, мне скучно грустно одиноко, на аватрке аниме
Ответы
Автор ответа:
1
Ответ:
смотри на фото...........
Приложения:
спасибо большое
Похожие вопросы
Предмет: Русский язык,
автор: taniana904
Предмет: Русский язык,
автор: 11Лёлик22
Предмет: Русский язык,
автор: alsu010786
Предмет: Литература,
автор: hgg1070
Предмет: Математика,
автор: ilqarilqarli