Предмет: Математика,
автор: kajtoleuov74
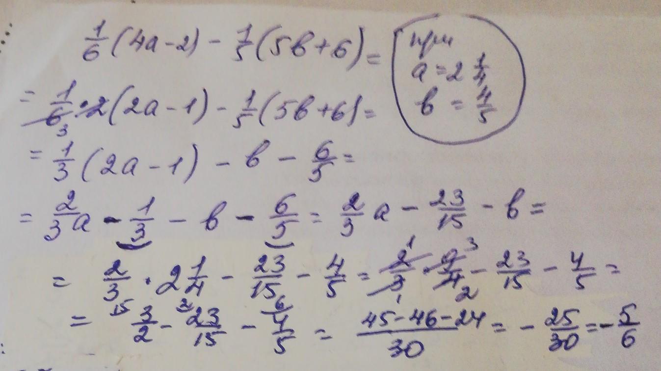
4.упростите вырожение 1/6(4a-2)-1/5(5b+6) и найдите его значение при a=2/14, b=4/5.помогитп соч
Ответы
Автор ответа:
1
Ответ:
Смотри решение на фото..
Приложения:
larisaserova53:
в условии должно быть целых одна четвертая! Проверьте!
2 целых 1/4
а у тебя 2/14
спасибо
Похожие вопросы
Предмет: Английский язык,
автор: VoronovDanil
Предмет: Русский язык,
автор: Аноним
Предмет: Английский язык,
автор: алина2458
Предмет: Русский язык,
автор: SilverKrista
Предмет: Математика,
автор: IrinaZoloeva