Предмет: Математика,
автор: Аноним
плиззззз. помагите пж очень очень даже срочно пж помагите
Приложения:
Lgrjs:
Все 3 задание?
да
будешь помогать?
Да. Сейчас
правда. да очень спасибо
Ответы
Автор ответа:
1
Ответ:
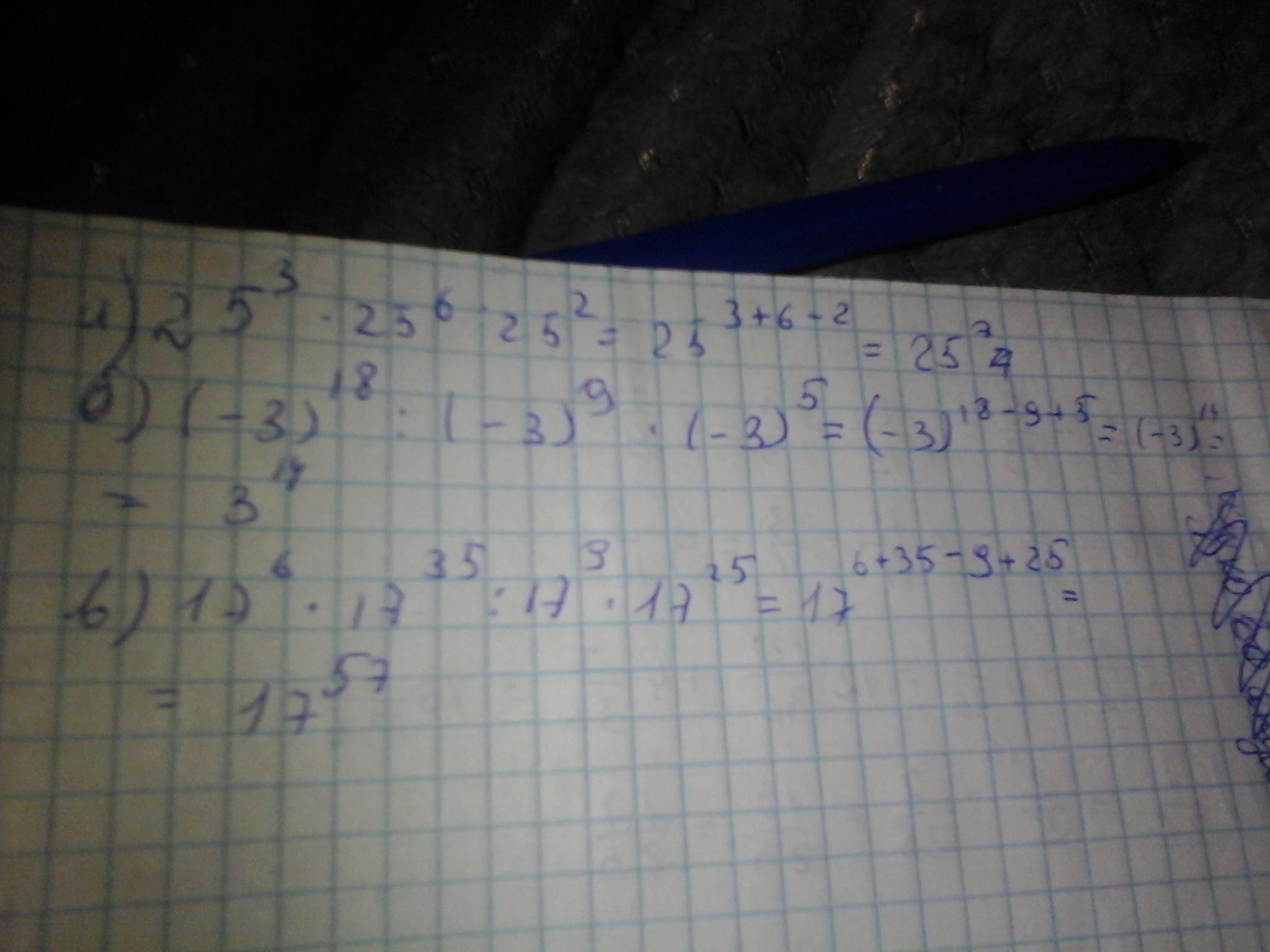
В прикрепленом файле
Пошаговое объяснение:
Я так понимаю так
Приложения:
Похожие вопросы
Предмет: Английский язык,
автор: danifavhadeev
Предмет: Русский язык,
автор: Аноним
Предмет: Русский язык,
автор: elenabelousova5
Предмет: Русский язык,
автор: shatskyasofya
Предмет: Литература,
автор: imani2006