Предмет: Алгебра,
автор: gjoribglia
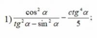
Помогите пожалуйста очень нужно, никак не могу разобраться
Приложения:
Ответы
Автор ответа:
0
Объяснение:
Надеюсь все правильно решил.
Приложения:
gjoribglia:
Жаль, но нет, но всё равно спасибо
пожалусто
Автор ответа:
1
Ответ:
Объяснение:
!!!!!!!!!!!!!!!!!!!!!!!!!!!
Приложения:
Да, ответ правильный! Спасибо
Похожие вопросы
Предмет: Русский язык,
автор: КэпиЛэйби
Предмет: Английский язык,
автор: Nastyaswager
Предмет: Английский язык,
автор: mashulyakopylo
Предмет: Английский язык,
автор: kristinashevyk
Предмет: Русский язык,
автор: ilnasgo54