Предмет: Алгебра,
автор: aruzhanazamatkizi01
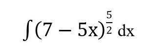
помогите пожалуйста с алгеброй
Приложения:
Mnick:
надо вычислить интеграл?
Ответы
Автор ответа:
1
решение на фото , вычислил интеграл методом подстановки
Приложения:
Похожие вопросы
Предмет: Русский язык,
автор: DilyaKotik
Предмет: Русский язык,
автор: ПЕТРОВИЧ2002
Предмет: Окружающий мир,
автор: AOspanova92
Предмет: Алгебра,
автор: Аноним
Предмет: Українська мова,
автор: taransofia040