Предмет: Математика,
автор: ganiyevakomila4
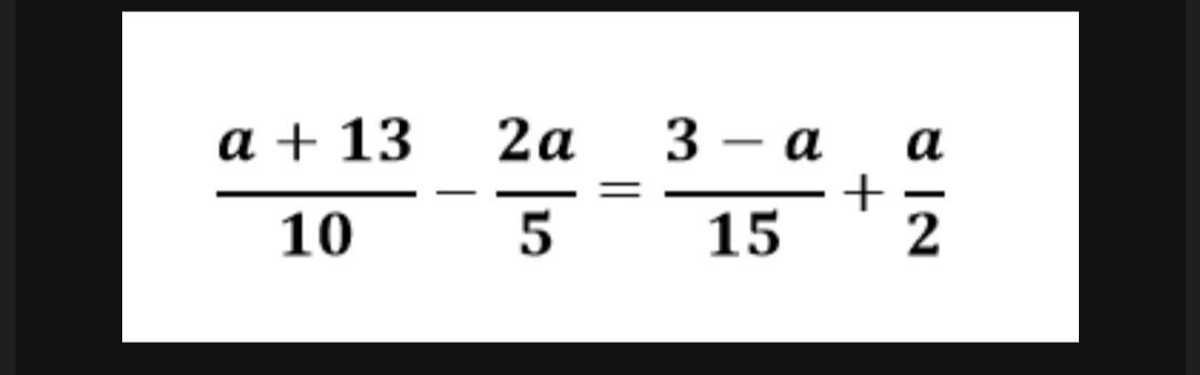
Найдите корень уравнения
Приложения:
Ответы
Автор ответа:
0
Пошаговое объяснение:
все описано в картинке.
Приложения:
Похожие вопросы
Предмет: Окружающий мир,
автор: маряря
Предмет: Русский язык,
автор: алекс179
Предмет: Русский язык,
автор: daniildagilev
Предмет: Математика,
автор: jernova