Предмет: Математика, автор: saveme96

Помогите с матешей, часть 1

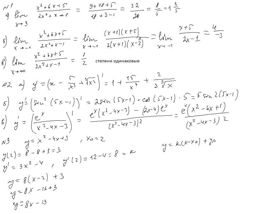
Нужно ИМЕННО решение, задания ниже

Приложения:

Ответы

Автор ответа: dashulka22222
1

Ответ:

Пошаговое объяснение:

Приложения:
Похожие вопросы
Предмет: Русский язык, автор: Rasita0001
1.Какое из предложений является сложным?
а) В вечернем сумраке всплывали пред ним виденья прошлых дней, будя старинные печали игрой бесплотною теней. (А. Б.)
б) В свободное от занятий по хозяйству время она садилась у окна самой большой комнаты в доме и неподвижно, молча сидела тут по два, по три часа. (М. Г.)
в) Густой, хриплый, непрерывный звук, казалось, выходил из-под земли и низко расстилался по её поверхности. (Купр.)
г) В дверях передней показался Багратион, без шляпы и шпаги, которые он, по клубному обычаю, оставил у швейцара. (Л. Т.)

2. Какое из предложений является простым?

а) Весенний, светлый день клонился к вечеру; небольшие розовые тучки стояли высоко в ясном небе и, казалось, не плыли мимо, а уходили в самую глубь лазури. (Т.)
б) Река воздушная полней течёт меж небом и землёю, грудь дышит легче и вольней, освобожденная от зною. (Тютч.)
в) В тихую лунную июльскую ночь Ольга Ивановна стояла на палубе волжского парохода и смотрела то на воду, то на красивые берега. (Ч.)
г) Они шли лесом по глухой, занесённой снегом дороге, на которой уже не осталось и следа от лошадиных копыт, полозьев или ног человека. (Бык.)

3. Какое из предложений является двусоставным?

а) Каких только конфликтов не происходило и не происходит в истории человеческого общества.
б) Юный лес, в зелёный дым одетый, тёплых гроз нетерпеливо ждёт. (А. К. Т.)
в) Прошу вас ещё раз не сердиться на меня и быть уверенным в том всегдашнем почтении и в той привязанности, с каковыми честь имею пребыть наипреданнейшею и покорнейшею услужницей вашей. (Дост.)
г) Всё-таки приятно от времени до времени себе справедливость воздать. (Дост.)

4. Какое из предложений является односоставным определённо-личным?

а) Ты не плачь, не сетуй, вновь весна придёт. (Аст.)
б) Постелите мне степь, занавесьте мне окна туманом. (Я. См.)
в) Три месяца спустя по приезде нашем в Петербург меня отдали в пансион. (Дост.)
г) Хочу писать, а не знаю, с чего и начать. (Дост.)

5. Какое из предложений или выделенных частей сложного предложения не является односоставным безличным?

а) По ночам она всё не спала, всё ей что-то чудилось. (Леск.)
б) Я то писал, что слышал, видел, и нет тут выдумки моей.
в) На дворе смеркалось, в комнатах было темно.
г) Лиственной тёплой сушью несло из тёмного сада. (Триф.)

6. Какое сочетание слов является одной из грамматических основ в сложном предложении?

Над алыми цветами пахучего шиповника кружились золотые жуки; в липах жужжали пчёлы; в траве трещали кузнечики; из-за кустов красной смородины большие подсолнечники подымали широкие головы и, казалось, нежились на полуденном солнце. (А. К. Т.)

а) подсолнечники подымали
б) подымали головы и нежились
в) подсолнечники подымали головы и нежились
г) подсолнечники нежились

7. В каком предложении выделенное сказуемое является составным глагольным?

а) Всё повторялось с прежней расчётливой методичностью, огневой вал медленно катился ко рву. (К. Вор.)
б) Швейцар оказался жилистым и жестоким человеком. (Буле.)
в) Но честного слова не должен нарушать ни один человек, потому что нельзя будет жить на свете. (Буле.)
г) Но лес был пуст, таинствен и звучен, как старинный собор, и от его южной опушки до села оказалось не больше трёхсот метров. (К. Вор.)

8. В каком предложении сказуемое является составным именным?

а) Копыта Грачихи жёстко отбарабанили по деревянному мосту на выезде из усадьбы и мягко пошли по толстой пыли большака. (Наг.)
б) Грубый шорох в кустах заставил Верочку испуганно замереть. (Наг.)
в) Наташа Сатина была рослая, стройная, очень серьёзная девочка, пытавшаяся держаться на равных со взрослыми. (Наг.)
г) Он хотел понять, почему его так тронула и странно взволновала эта встреча. (Наг.)

9. В каком предложении следует поставить тире между подлежащим и сказуемым?

а) Летний вечер тих и ясен... (Фет)
б) Он понял так, что теперь самое верное средство это начать во все места просьбы писать. (С.-Щ.)
в) Обители Горюхина большей частью роста среднего. (П.)
г) Какое это огромное счастье любить и быть любимым. (Ч.)

10. В каком предложении не следует ставить тире между подлежащим и сказуемым?

а) Пятью пять двадцать пять.
б) Россия это страна с великим духовным и культурным наследием.
в) Нет, мы не древние народы! Наш век, о други, не таков. (Тютч.)
г) Ученье вот чума, учёность вот причина. (Гр.)
Предмет: Русский язык, автор: AvgustinaS