Предмет: Математика,
автор: Mekhdiew
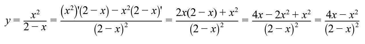
Найдите произодную
y= x^2/(2-x)
Ответы
Автор ответа:
1
Ответ:
Пошаговое объяснение:
//////////
Приложения:
Похожие вопросы
Предмет: Окружающий мир,
автор: Аноним
Предмет: Русский язык,
автор: LENAKP86
Предмет: Русский язык,
автор: iraZhelejko
Предмет: Русский язык,
автор: sabina08881
Предмет: Литература,
автор: mambetovmadi