Предмет: Математика,
автор: temirlanrashidov3
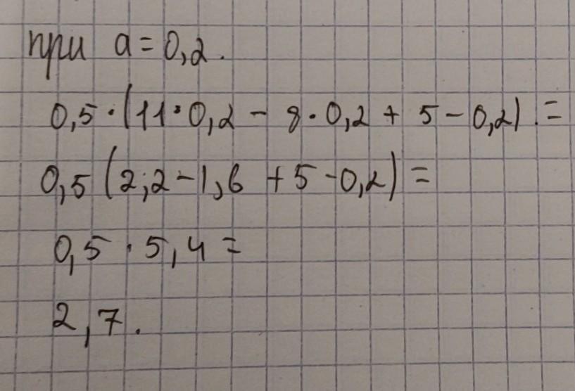
4 Упростите выражение и найдите его значение при а=0,2 0,5×(11а - 8а + 5 - а)=
плиз пажалуста сор нужно
Ответы
Автор ответа:
0
Ответ:
0,5×(11а-8а+5-а)= 0,5×(2а+5)= 0,5×2а+0,5×5=а+2,5
0,2+2,5=2,7
Автор ответа:
0
Ответ:
Сделай пожалуйста ответ лучшим решением вопроса)
Приложения:
Похожие вопросы
Предмет: Английский язык,
автор: Атлос
Предмет: Русский язык,
автор: kinomasha1
Предмет: Английский язык,
автор: Ави23
Предмет: Математика,
автор: knarochka
Предмет: Английский язык,
автор: lerik3914