Предмет: Алгебра,
автор: comarad
Господа и дамы знатоки! Сердечно вас прошу выполнить это задание как можно быстрее, завтра у меня сдача
Решите уравнения:
Приложения:
Аноним:
я могу решить, но не поместятся три примера (ограничения), раздели на каждый вопрос по одному примеру
Разделил
Ответы
Автор ответа:
1
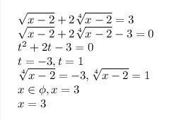
Ответ предоставлен на фото.
Приложения:
можете мне помочь пожал......
в профиле
Похожие вопросы
Предмет: Другие предметы,
автор: nastyalisi4ka1
Предмет: Русский язык,
автор: Kavkazec777
Предмет: Английский язык,
автор: Аноним
Предмет: Астрономия,
автор: janeman31
Предмет: Математика,
автор: milisa00780