Предмет: Математика,
автор: radcukvladislav9
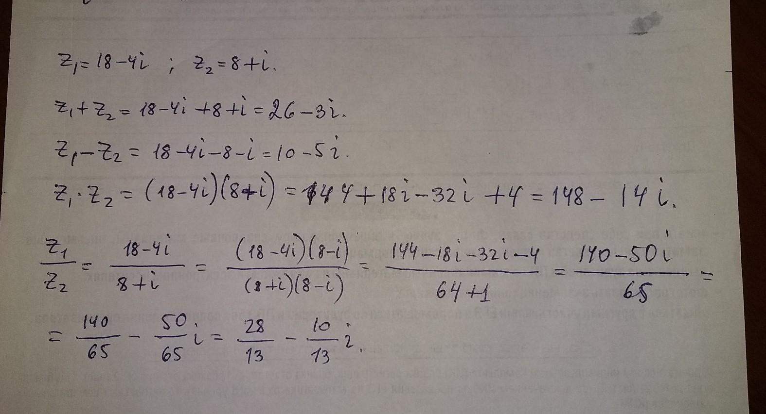
Помогите решить желательно фото дам 35 баллов
Приложения:
Ответы
Автор ответа:
1
Ответ:
hsjsisushsjsjsisbsvshsaskzososo
Приложения:
radcukvladislav9:
А под сможешь?
Под б
Похожие вопросы
Предмет: Русский язык,
автор: dina155
Предмет: Українська мова,
автор: Саша6770425
Предмет: Русский язык,
автор: aigerimsandau21
Предмет: Литература,
автор: dinarvafin