Предмет: Математика,
автор: sakavovbajdar05
Помогите прошу вас пожалуйста
Приложения:
Ответы
Автор ответа:
1
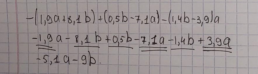
Ответ:
Удачи)
Пошаговое объяснение:
Все легко и просто. Сделай пожалуйста ответ лучшим)
Приложения:
Похожие вопросы
Предмет: Черчение,
автор: VeronikaZ05
Предмет: Русский язык,
автор: оля1070
Предмет: Русский язык,
автор: alis050Алисик
Предмет: Математика,
автор: axyonova
Предмет: Английский язык,
автор: lenni1977