Предмет: Алгебра,
автор: dry35169
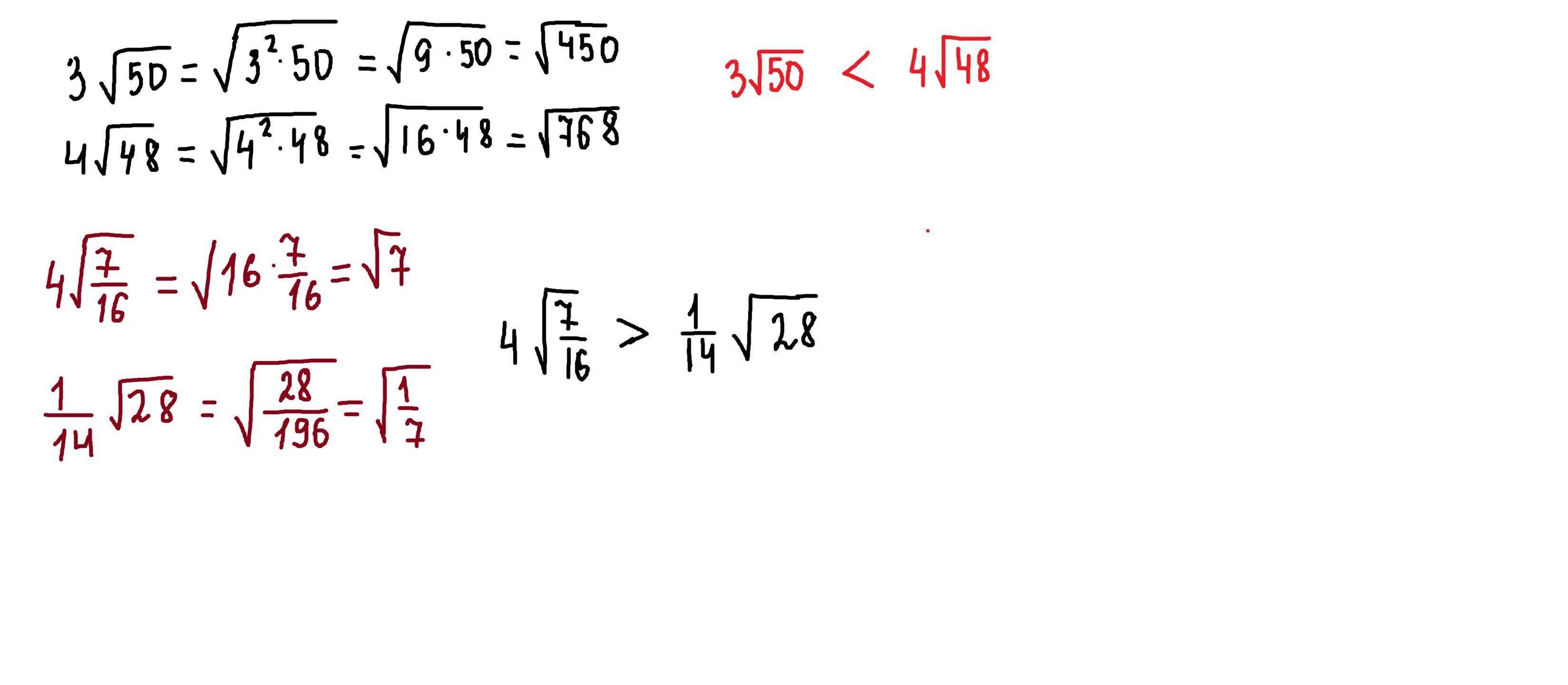
сравни выражения и выбери верные ответы! пожалуйста очень срочно!!!!
Приложения:
Ответы
Автор ответа:
0
Ответ:
1 ) < 2) >
Объяснение:
решение внизу
Приложения:
Похожие вопросы
Предмет: Английский язык,
автор: физика0
Предмет: Русский язык,
автор: срамата
Предмет: Українська мова,
автор: Monro1982
Предмет: Музыка,
автор: allexsandra91