Предмет: Математика,
автор: Hard6iir7
математика 11 класс надо решить кто поможет
Приложения:
Elena3982:
Что нужно сделать спростить или вычислить выражение?
упростить
Ответы
Автор ответа:
2
Пошаговое объяснение:
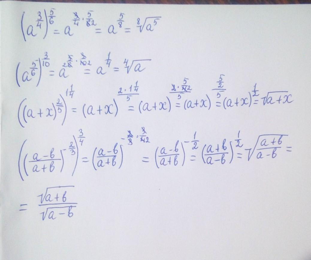
Вот тебе ответ...........
Приложения:
спасибо
Пожалуйста.
Похожие вопросы
Предмет: Английский язык,
автор: ЛизаМелок33
Предмет: Русский язык,
автор: nahora1977
Предмет: Русский язык,
автор: назрин9
Предмет: География,
автор: nasznaija
Предмет: Алгебра,
автор: berezin151515