Предмет: Математика,
автор: diana89z88
помогите пожалуйста
Приложения:
Rozali9A:
если тебе понравился мой ответ, сделай его лучшим, благодарю заранее, мне правда это нужно
Ответы
Автор ответа:
0
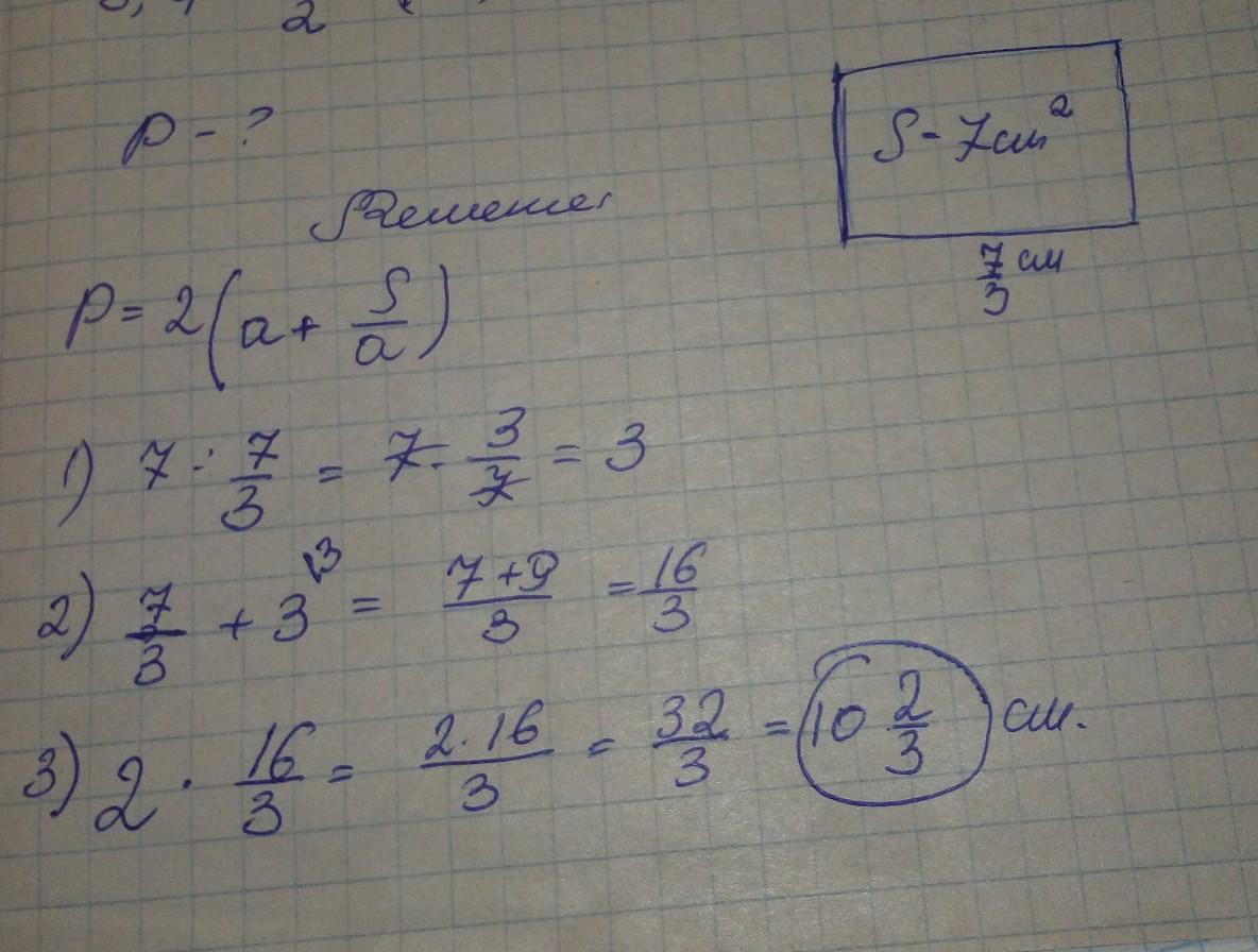
На фото........
10 2/3 см
Приложения:
Похожие вопросы
Предмет: Русский язык,
автор: flooykase
Предмет: Русский язык,
автор: sonjastepnov
Предмет: Қазақ тiлi,
автор: Ангелинамурмяу
Предмет: Қазақ тiлi,
автор: aida5256
Предмет: Английский язык,
автор: makryginaa