Предмет: Алгебра,
автор: lestwins12312
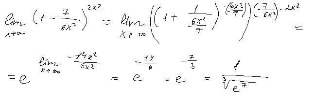
Вычислить Вычислить Вычислить
Приложения:
Ответы
Автор ответа:
1
Ответ:
е^(-7\3)
Объяснение:
Приложения:
Похожие вопросы
Предмет: Французский язык,
автор: doni654
Предмет: Русский язык,
автор: 12332131
Предмет: Русский язык,
автор: слаша1221
Предмет: Геометрия,
автор: evalepa
Предмет: Українська мова,
автор: RitaНяя21