Предмет: Алгебра,
автор: lolkek3637
Даю много баллов!!Помогите пожалуйста !SOOOSS
Приложения:
Ответы
Автор ответа:
1
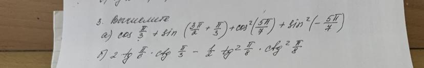
а) используем основное тригонометрическое тождество cos²β+sin²β=1;
формулу приведения sin(3π/2+β)=-cosβ;
нечетность синуса sin(-β)=-sinβ. и табличное значение косинуса π/3, получим
cosπ/3+sin(3π/2+π/3)+cos²5π/7+sin²(-5π/7)=0.5-сosπ/3+1=
0.5-0.5+1=1
б) используем табличные значения тангенса и котангенса, а также тот факт, что произведение тангенса на котангенс одного и того же угла есть единица, получаем
2tgπ/6*ctgπ/3-0.5*tg²π/8*ctg²π/8=2*(√3/3)(√3/3)-0.5*1²=1/3-1/2=-1/6
pasekaalex2005:
в ,б) ответ разве не 1/6?
Похожие вопросы
Предмет: Українська мова,
автор: Anastasia22881
Предмет: Другие предметы,
автор: рок57
Предмет: Русский язык,
автор: galina8325
Предмет: Алгебра,
автор: fontom730