Предмет: Математика,
автор: roblox374
ПОМОГИТЕ ПОЖАЛУЙСТА
Приложения:
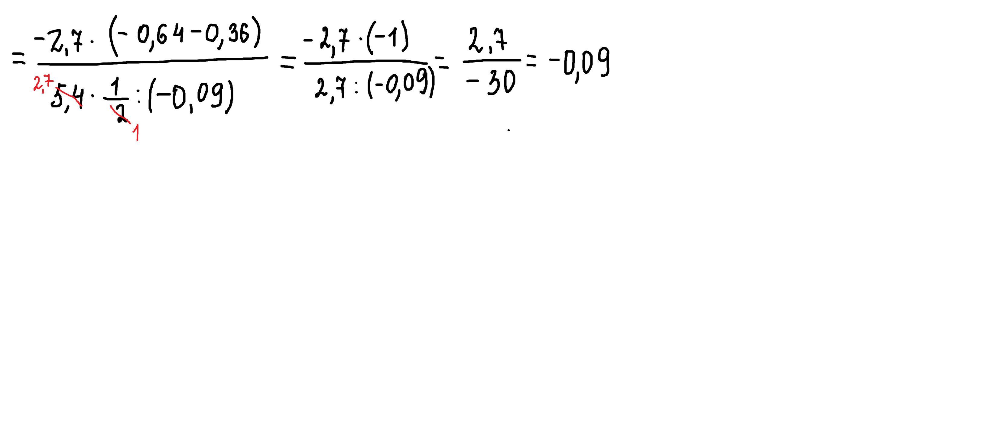
jekadva:
= -0,09
Ответы
Автор ответа:
0
Пошаговое объяснение:
Вот тебе ответ...........
Приложения:
Автор ответа:
0
Ответ:
-0,09
Пошаговое объяснение:
Приложения:
Похожие вопросы
Предмет: Английский язык,
автор: sonya248
Предмет: Русский язык,
автор: алмас04
Предмет: Русский язык,
автор: ДенисСилин
Предмет: Английский язык,
автор: 6ne