Предмет: Алгебра,
автор: aylingassymova
помогите пожалуйста, мне нуже развёрнутый ответ с пояснением действий.Не будет этого-бан
Приложения:
Ответы
Автор ответа:
2
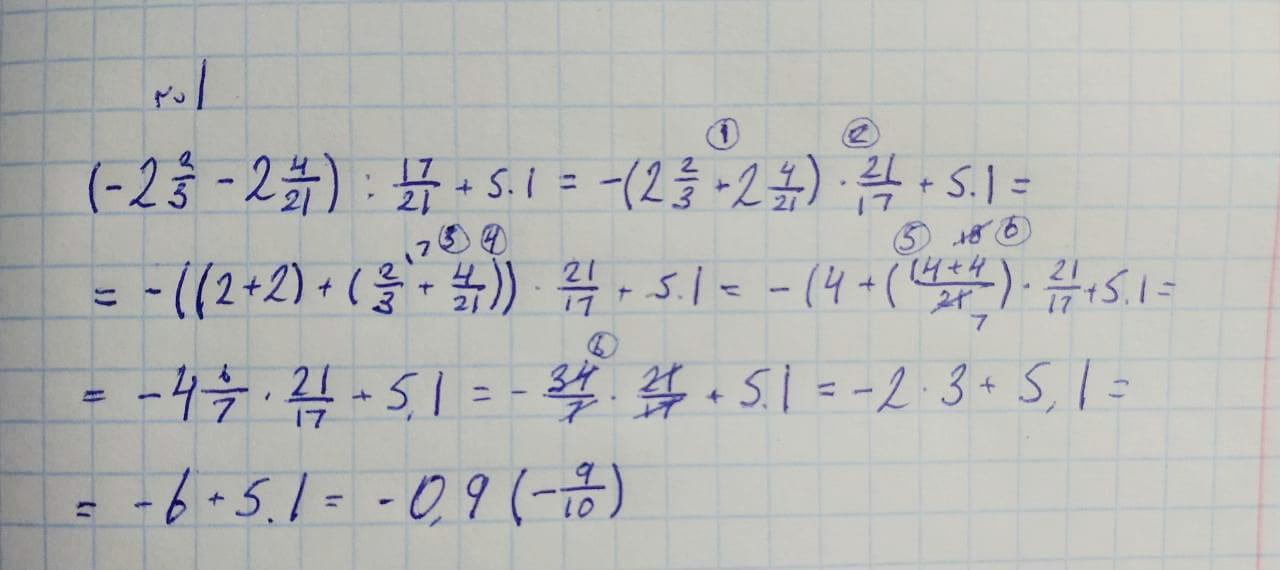
Ответ:
на фотографии
Объяснение:
1) выносим минус за скобки, чтобы удобнее было выполнять действия в скобках. Все знаки в скобках меняются на противоположные.
2) Дробь 17/24 переворачиваем по правилу деления дробей и меняем на умножение.
3) целые числа складываем отдельно, дроби - отдельно.
4) подводим дроби под один знаменатель. Умножаем 2/3 на семь.
5) складываем дроби, получаем 18/21
6) сокращаем 18/21 на 3, получаем 6/7
7) не забываем про минус перед скобкой, он не должен исчезнуть! -4 6/7 переводим в неправильную дробь -34/7 и сокращаем с 21/17.
8) -2 умножаем на 3, получаем -6 и прибавляем 5,1
9) получаем -0,9
Приложения:
lehainnasev:
циферки сверху чисел переписывать не нужно :)
спасибо большое,это просто прекрасно!
всегда пожалуйста! ;)
Похожие вопросы
Предмет: Английский язык,
автор: nikitenko164164
Предмет: Українська мова,
автор: margo781710
Предмет: Окружающий мир,
автор: региша3
Предмет: Геометрия,
автор: Аноним
Предмет: Алгебра,
автор: ghoust566