Предмет: Алгебра,
автор: sofiadejnega246
СРОЧНО ПОМОГИТЕ !!!!!!!!!
Приложения:
Ответы
Автор ответа:
1
Ответ:
Объяснение:
!!!!!!!!!!!!!!!!!!!!!!!!
Приложения:
Автор ответа:
1
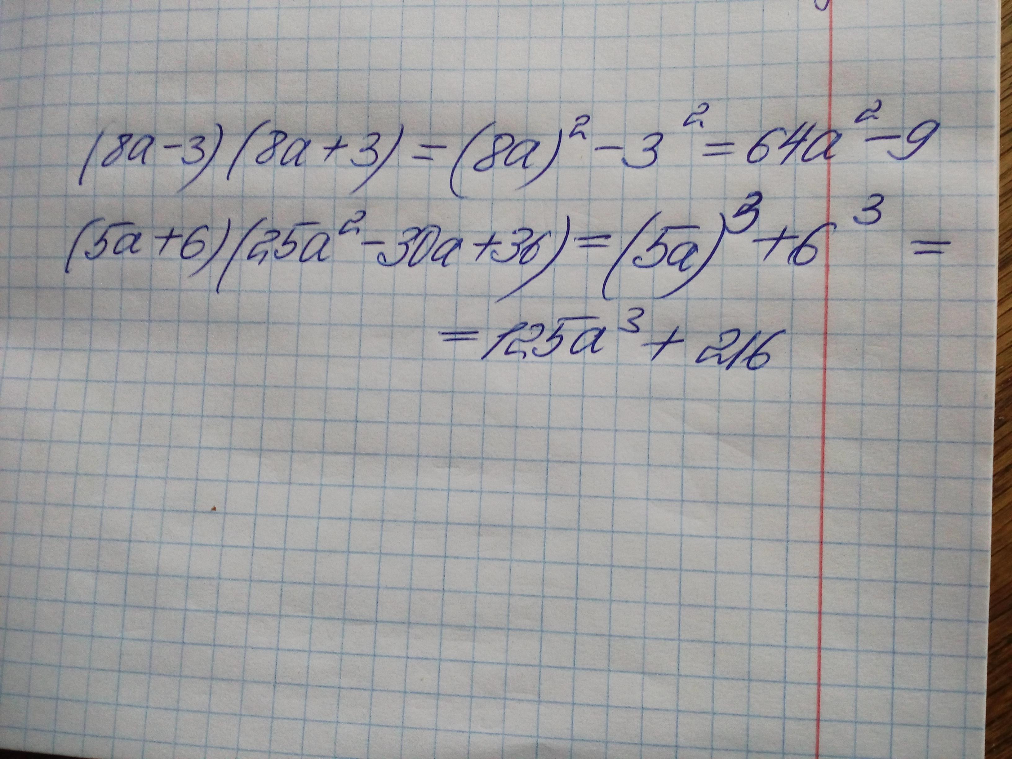
Ответ:
(8а-3)(8а+3)=(8а)^2-3^=64а^2-9
(5а+6)(25а^2-30а+36)=(5а)^3+6^3=125а^3+216
Похожие вопросы
Предмет: Английский язык,
автор: AelitaErzh
Предмет: Қазақ тiлi,
автор: gulmiramadina
Предмет: Английский язык,
автор: toragcheva04
Предмет: Алгебра,
автор: goshatugushi99
Предмет: Английский язык,
автор: dota2ru71