Предмет: Математика,
автор: gurovapolina
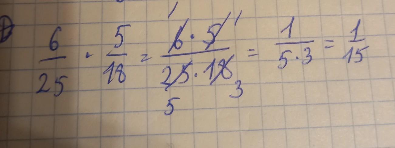
6/25*5/18
Помогите пожалуйста.как это решить?
Ответы
Автор ответа:
1
Вложение фото решения, ответа.
Приложения:
Автор ответа:
1
Ответ:
Похожие вопросы
Предмет: Русский язык,
автор: Svstolyarova
Предмет: Английский язык,
автор: ртаош
Предмет: Українська мова,
автор: savich86
Предмет: Математика,
автор: xcfghhh
Предмет: Английский язык,
автор: vikakuchina20