Предмет: Алгебра,
автор: nikanovaksenij
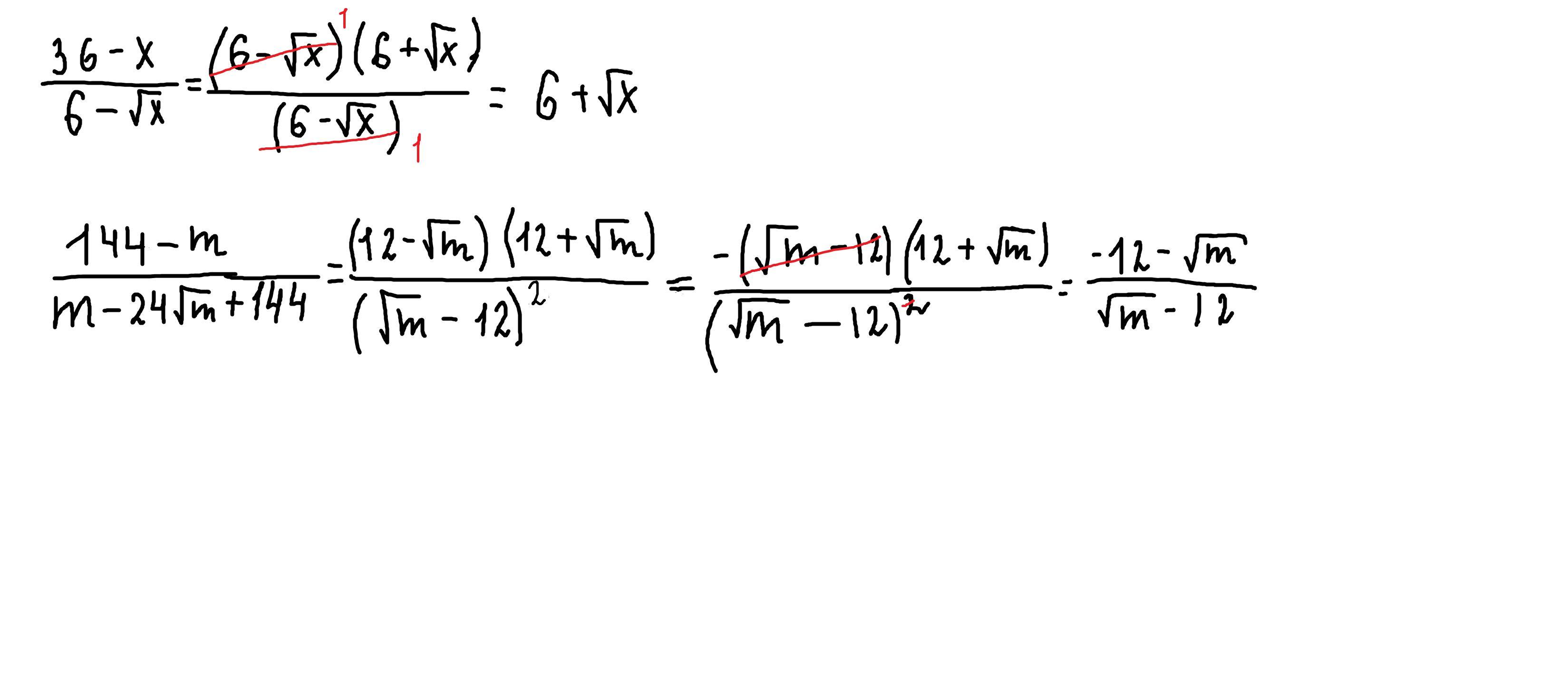
сократить дробь 1) 36-x/6-√x и 2) 144-m/m-24√m+144
Ответы
Автор ответа:
1
Ответ:
Объяснение:
решение внизу
Приложения:
Похожие вопросы
Предмет: Русский язык,
автор: sabina0602
Предмет: Окружающий мир,
автор: balashovv
Предмет: Русский язык,
автор: berkus228
Предмет: Биология,
автор: ksengolubeva2
Предмет: Українська мова,
автор: Аноним