Предмет: Алгебра,
автор: cajim50718
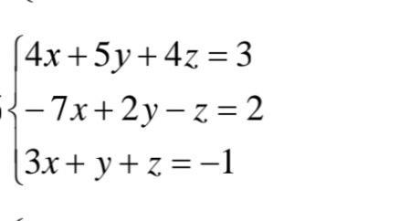
Решение систем линейных уравнений третьего порядка.
Решите пожалуйста завтра зачет...
Приложения:
Ответы
Автор ответа:
0
Ответ:
x = -1
y = -1
z = 3
Объяснение:
{-24x + 13y = 11
{-4x +3y = 1
x=-1
y=-1
-7*(-1)+2*(-1)-z = 2
z = 3
Похожие вопросы
Предмет: Английский язык,
автор: твайлайтспаркл3
Предмет: Другие предметы,
автор: юлия1253
Предмет: Русский язык,
автор: gogi7607
Предмет: Математика,
автор: Ellisef