Предмет: Алгебра,
автор: Аноним
допоможіть будь ласка 40 балів
тільки 3 приклад
Приложения:
Ответы
Автор ответа:
1
Ответ:
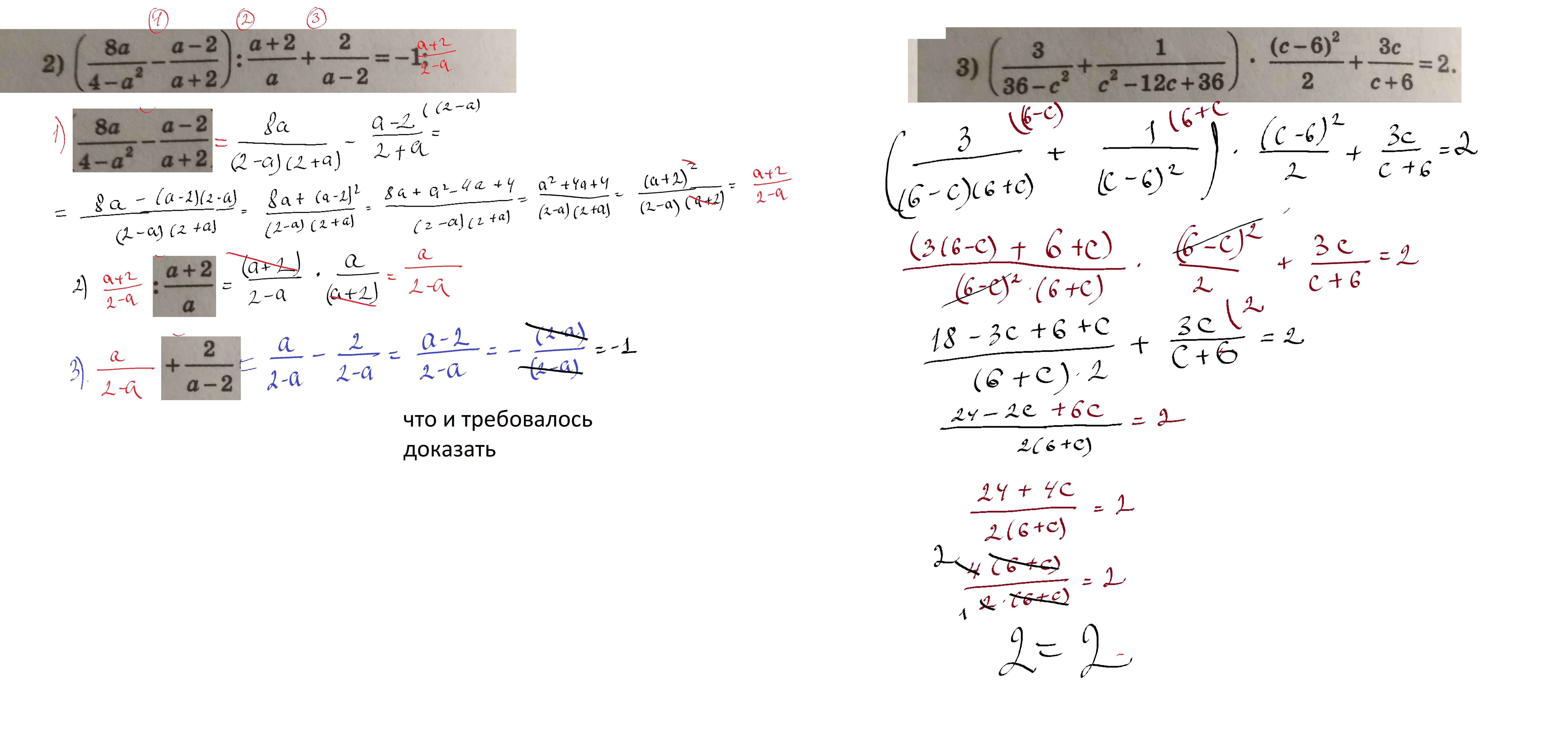
решение на фото
Объяснение:
Приложения:
Похожие вопросы
Предмет: Английский язык,
автор: anna101050
Предмет: Английский язык,
автор: klQkovKa
Предмет: Русский язык,
автор: inifunkissmine
Предмет: Английский язык,
автор: сортирныйсоюз666
Предмет: Литература,
автор: nanhsjabsjskajs