Предмет: Математика,
автор: Sami02
можете пожалуйста помочь я дам 10 баллов
Приложения:
Ответы
Автор ответа:
1
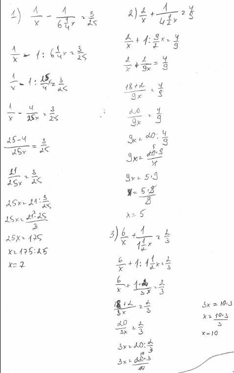
Ответ:
ответ во вложении
Пошаговое объяснение:
Приложения:
Sami02:
огромный спосибос
в следующий раз пиши по понятнее пожалуйста
Похожие вопросы
Предмет: Русский язык,
автор: rodkinmine
Предмет: Українська література,
автор: igormamaev2012
Предмет: Русский язык,
автор: usunaited
Предмет: Қазақ тiлi,
автор: Аноним
Предмет: Окружающий мир,
автор: Аноним