Предмет: Математика,
автор: lolololo45451212
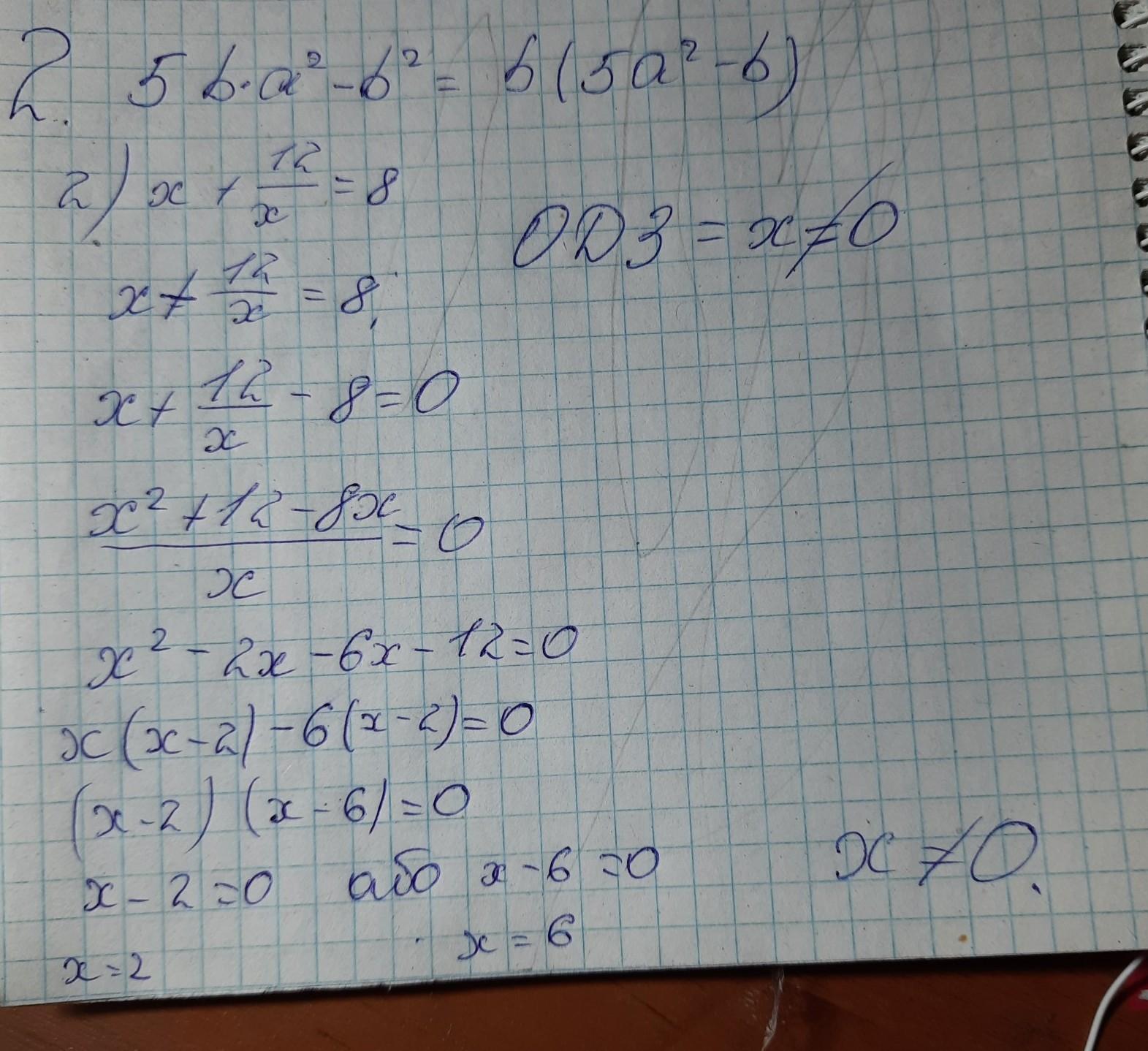
помогите пожалуйста срочно, нужно решить то что на листочке
Приложения:
Ответы
Автор ответа:
0
Ответ:
ц уюуюцю.ц.цьлцбцццз2жжуц
Приложения:
Автор ответа:
0
Ответ:
таочоовлвлалалаььааьлабаба
Похожие вопросы
Предмет: Русский язык,
автор: ФедоровВладислав
Предмет: Русский язык,
автор: марысяМур
Предмет: Українська мова,
автор: Аноним
Предмет: География,
автор: temakurnosov
Предмет: Математика,
автор: zhanar2009