Предмет: Алгебра, автор: filimonova0000

помогите решить эту систему, нужно прямо полное решение

Приложения:

Vopoxov: У-уфф, либо я как-то по-тупому решал, либо это слегка треш

Ответы

Автор ответа: Vopoxov
1

Ответ:

 \small(-1;\:1);\: (1;\:-1);\:(-\frac{13}{ \sqrt{133}};\:\frac{1}{ \sqrt{133}});\: (\frac{13}{ \sqrt{133}};\: -\frac{1}{ \sqrt{133}})

Объяснение:

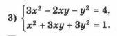
 \begin{cases} 3 {x}^{2} - 2xy -  {y}^{2}  = 4  \:  \: \small{ \Big|   \:  \times  ( - 1) }\\  {x}^{2}  + 3xy + 3 {y}^{2}  = 1 \:  \:  \small{ \Big|  \:  \times  4 }\end{cases} \\  \begin{cases} -  3 {x}^{2} + 2xy + {y}^{2}  =  - 4  \\  4{x}^{2}  + 12xy +12{y}^{2}  = 4  \end{cases} +  \\ \begin{cases} 4 {x}^{2} {- } 3 {x}^{2}{ +}12xy{ + } 2xy{ +}12 {y}^{2}{ +}{y}^{2}  = 0 \:  \:  \:  \:  \:  \:  \: (1)  \\  4{x}^{2}  + 12xy +12{y}^{2}  = 4  \end{cases}

Очевидно, что

х = 0 не может быть корнем уравнения

у = 0 не может быть корнем уравнения

поэтому - можно преобразовать уравнение (1) системы после упрощения, разделив обе его части на у²:

4 {x}^{2} {- } 3 {x}^{2}{ +}12xy{ + } 2xy{ +}12 {y}^{2}{ +}{y}^{2}  = 0 \\  {x}^{2}  + 14xy + 13 {y}^{2}  = 0 \:  \:  \:  \: { \Big|  \:   \: : {y}^{2}  } \\   \frac{ {x}^{2} }{ {y}^{2} }  + 14 { \cdot}\frac{xy}{ {y}^{2} } + 13 { \cdot} \frac{{y}^{2}}{ {y}^{2}}   = 0 \\  \left(  \frac{x }{y } \right)^{2}  + 14 { \cdot}\frac{x}{y} + 13  = 0 \\

Замена переменной:

 \: t =  \frac{x}{y}  \:  \:  \:  \:  =  >  \left(  \frac{x }{y } \right)^{2}  =  {t}^{2} \\ \\  {t}^{2}   + 14t + 13 = 0

По Т. Виетта 2 корня:

(t + 1)(t + 13) = 0 \\ \left[ \begin{array}{l}t = -1 \\t = -13  \end{array} \right.

Делаем обратную замену,

затем выразим х через у:

 \left[ \begin{array}{l} \frac{x}{y} = -  1 \\ \frac{x}{y}  = -  13  \end{array} \right. <  =  >  \left[ \begin{array}{l} {x}=  - y \\x =  - 13y  \end{array} \right.

 \small \left[ \begin{array}{l} \begin{cases} 3 {x}^{2} - 2xy -  {y}^{2}  = 4  \\  x=-y \end{cases}\\ \begin{cases} 3 {x}^{2} - 2xy -  {y}^{2}  = 4  \\  x=-13y \end{cases}  \end{array} \right. <  =  > \\  <  =  >  \left[ \begin{array}{l} \begin{cases} 3 {( - y)}^{2} - 2y {\cdot}( - y) -  {y}^{2}  = 4  \qquad  \:  \:  \: (2) \\  x=-y \end{cases}\\ \begin{cases} 3 {( -13 y)}^{2} - 2y{\cdot}( - 13y) -  {y}^{2}  = 4 \:  \:  \:  \: (3)  \\  x=-13y \end{cases}  \end{array} \right.  \\

Решаем уравнение (2)

 3 {( - y)}^{2} - 2y {\cdot}( - y) -  {y}^{2}  = 4 \\ 3 {y}^{2}  + 2 {y}^{2}  -  {y}^{2}  = 4 \\ 4 {y}^{2}  = 4 \:  \:  <  =  >  \:  \:  {y}^{2}  = 1 \\ y =  \pm \sqrt{1}  \:  \: <  =  >   \: \: y  =  \pm1

  \left[ \begin{array}{l} {y}= 1\\y =  -1  \end{array} \right. \\  \\

Решаем уравнение (3)

3 {( -13 y)}^{2} - 2y{\cdot}( - 13y) -  {y}^{2}  = 4 \\ 3{ \cdot}169 {y}^{2}  + 26 {y}^{2} - {y }^{2}  = 4 \\ 507 {y}^{2}  + 26 {y}^{2}  -  {y}^{2}  = 4 \\ 532 {y}^{2}  = 4 \\  {y}^{2}  =  \frac{4}{532}  =  \frac{1}{133}  \\ y =  \pm\frac{1}{ \sqrt{133}}

  \left[ \begin{array}{l} {y}= \frac{1}{ \sqrt{133}} \\y =  -\frac{1}{ \sqrt{133}}   \end{array} \right. \\

Подставляем значения, найденные при решении уравнений (2) и (3) - соответственно вместо уравнений (2) и (3)

 \small\left[ \begin{array}{l} \begin{cases}   x =  - y\\ \left[ \begin{array}{l} {y}= 1\\y =  -1  \end{array} \right. \end{cases}\\ \begin{cases}x =  - 13y  \\  \left[ \begin{array}{l} {y}= \frac{1}{ \sqrt{133}} \\y =  -\frac{1}{ \sqrt{133}}   \end{array} \right.  \end{cases}  \end{array} \right.   <  =  >  \small\left[ \begin{array}{l}\begin{cases} x =  - 1 \\ y = 1\end{cases}  \\  \begin{cases} x = 1 \\ y =  - 1\end{cases} \\ \begin{cases} {x}= -  \frac{13}{ \sqrt{133}} \\ {y}= \frac{1}{ \sqrt{133}}  \end{cases} \\ \begin{cases} {x}= \frac{13}{ \sqrt{133}}  \\ {y}=  - \frac{1}{ \sqrt{133}} \end{cases} \end{array} \right.

 \small(-1;\:1);\: (1;\:-1);\:(-\frac{13}{ \sqrt{133}};\:\frac{1}{ \sqrt{133}}), (\frac{13}{ \sqrt{133}};\: -\frac{1}{ \sqrt{133}})

Похожие вопросы
Предмет: Английский язык, автор: Аноним
Предмет: Химия, автор: nikita0015