Предмет: Алгебра,
автор: danil20070304
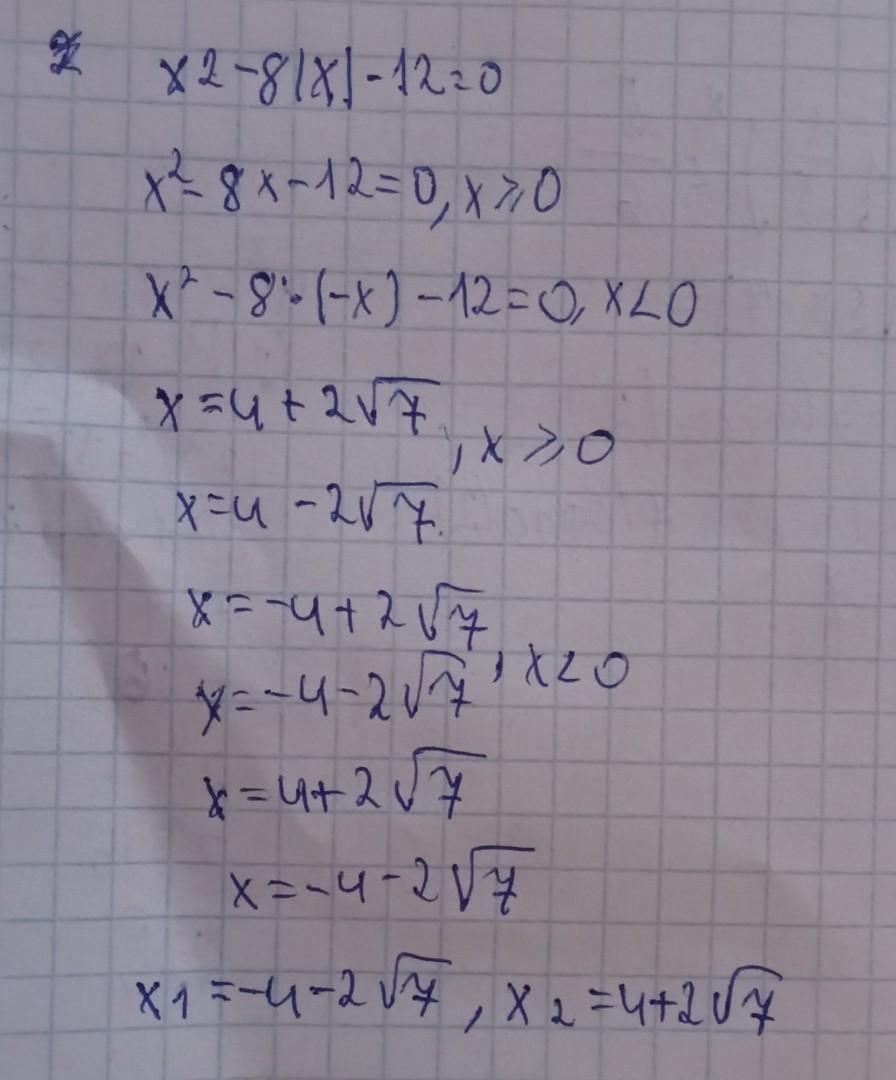
Решить уравнение содержащие знак модуль: х2-8|х|-12=0
Ответы
Автор ответа:
0
Ответ:
на фото....................
Приложения:
Похожие вопросы
Предмет: Русский язык,
автор: tadjikulovaz
Предмет: Русский язык,
автор: natashamandrik
Предмет: Английский язык,
автор: Олеся285333
Предмет: Английский язык,
автор: alina23450
Предмет: Українська мова,
автор: anastasia8227