Предмет: Математика,
автор: kozahmetovaajsa3
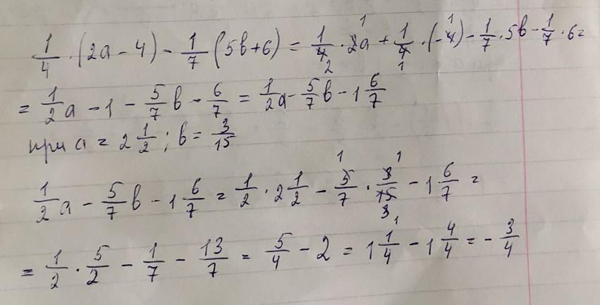
упростите выражение и найдите его значение 1/4×(2а-4)-1/7(5в+6), а=2 1/2, в=3/15
Ответы
Автор ответа:
0
Ответ:
Подробное решение во вложении
Приложения:
Похожие вопросы
Предмет: Беларуская мова,
автор: anna1055
Предмет: Окружающий мир,
автор: evgeshadevina
Предмет: Другие предметы,
автор: 23456789vita123
Предмет: Математика,
автор: derzkaia69