Предмет: Математика,
автор: Аноним
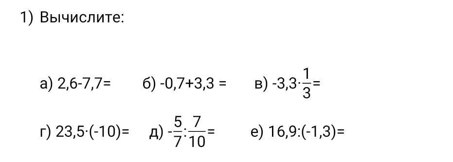
Вычислите: а) 2,6-7,7=
б) -0,7+3,3 =
в) -3,3·1/3=
г) 23,5·(-10)=
д) -5/7:7/10
е) 16,9:(-1,3)=
Приложения:
Ответы
Автор ответа:
0
Ответ:
-5,1
2,6
-235
-50/49
-13
Похожие вопросы
Предмет: Английский язык,
автор: Nancy777
Предмет: Английский язык,
автор: alieksandrovav
Предмет: Английский язык,
автор: TheBrainDitYIIIkA
Предмет: Английский язык,
автор: Polina2028
Предмет: Английский язык,
автор: flk76