Предмет: Алгебра,
автор: Аноним
ПОМОГИТЕ ПОЖАЛУЙСТА С УТРА НАДО СДАТЬ! Упростите выражение: ^ --это степень.
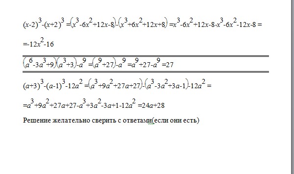
(x -2)^3 - (x+2)^3;
(a^6 -3a^3+9) (a^3+3) -a^9;
(a+3)^3 - (a-1)^3 -12a^2;
Ответы
Автор ответа:
0
=============================================
Приложения:
Автор ответа:
0
Решение:
(x -2)^3 - (x+2)^3=(x-2-x-2)((x-2)^2+(x-2)^2+x^2-4)=-4(2x^2+8+x^2-4)=-4(3x^2+4)
(a^6 -3a^3+9) (a^3+3) -a^9=a^9+27-a^9=27
(a+3)^3 - (a-1)^3 -12a^2=(a+3-a+1)((a+3)(a-1)+(a+3)^2+(a-1)^2)-12a^2=4(a^2-3+2a+2a^2+10+6a-2a-3a^2)=4(6a+7)
(x -2)^3 - (x+2)^3=(x-2-x-2)((x-2)^2+(x-2)^2+x^2-4)=-4(2x^2+8+x^2-4)=-4(3x^2+4)
(a^6 -3a^3+9) (a^3+3) -a^9=a^9+27-a^9=27
(a+3)^3 - (a-1)^3 -12a^2=(a+3-a+1)((a+3)(a-1)+(a+3)^2+(a-1)^2)-12a^2=4(a^2-3+2a+2a^2+10+6a-2a-3a^2)=4(6a+7)
Приложения:
Похожие вопросы
Предмет: Математика,
автор: Аноним
Предмет: Физкультура и спорт,
автор: makronynet
Предмет: Английский язык,
автор: Artem12334564
Предмет: Математика,
автор: mulatko