Предмет: Алгебра,
автор: zetahiles
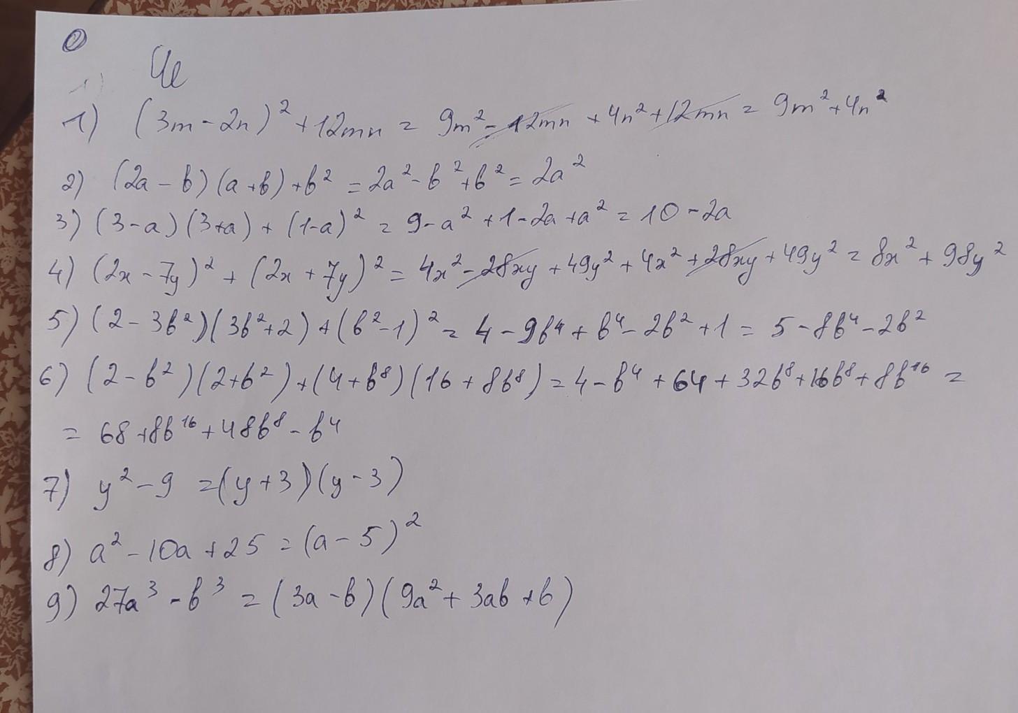
Помогите решить ( это домашняя контрольная робота)
Даю 80 баллов это тема про "Добуток різниці та суми двох виразів"
Приложения:
ychenuk:
Извини, второе у меня неверно. Всё остальное верно
Ответы
Автор ответа:
1
ответ на фото..........
Приложения:
Это точно правильно?
Спасибо большое)
Автор ответа:
1
Ответ:ответ прикреплен. Удачи
Объяснение:
Приложения:
Это точно правильно?
Понял спс)
Похожие вопросы
Предмет: Русский язык,
автор: anduljana
Предмет: Русский язык,
автор: лизализаволкова13
Предмет: Английский язык,
автор: GoBay
Предмет: Алгебра,
автор: fuwamahiro
Предмет: Литература,
автор: s6kenka