Предмет: Алгебра,
автор: sasnyychel
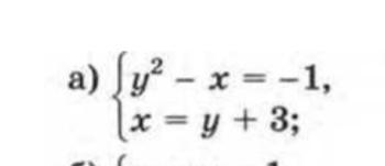
Решите способом подстановки систему уравнений, 1 пример всего
Приложения:
Ответы
Автор ответа:
0
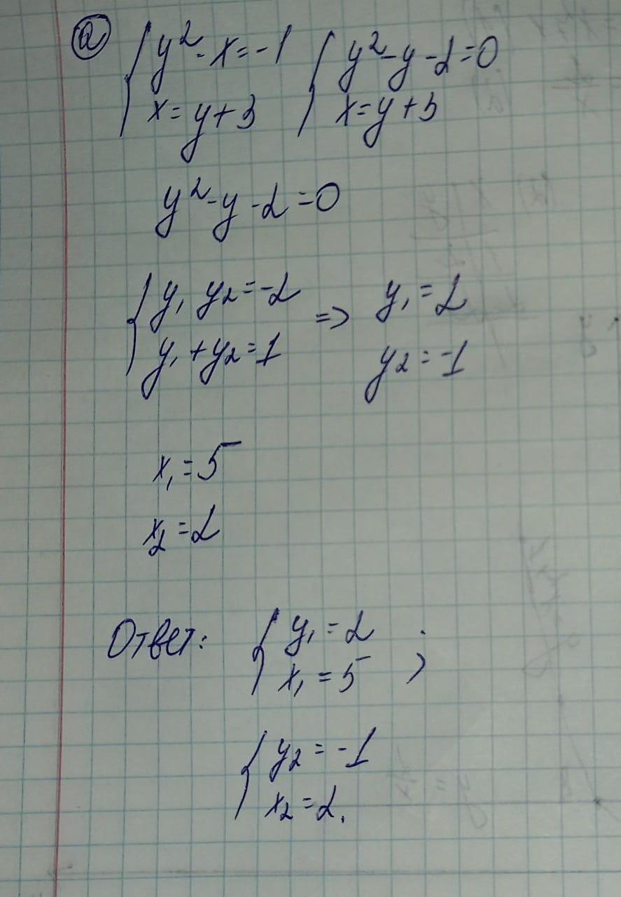
Ответ:
-ВСЕ ВО ВЛОЖЕНИЕ-
Объяснение:
-ВСЕ ВО ВЛОЖЕНИЕ-
Приложения:
Похожие вопросы
Предмет: Русский язык,
автор: 9069424806
Предмет: Русский язык,
автор: 193910
Предмет: Русский язык,
автор: avtogradvlad2
Предмет: Русский язык,
автор: Anonymous80
Предмет: Русский язык,
автор: ZEMBERS