Предмет: Математика,
автор: pletnev89501
решите срочно пожалуйста
Приложения:
Ответы
Автор ответа:
1
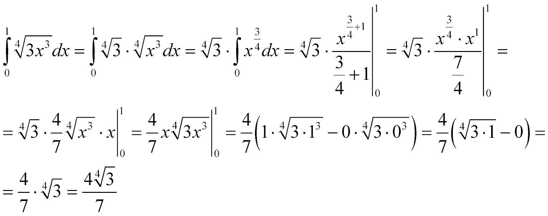
Ответ приведен на фото.
Приложения:
Похожие вопросы
Предмет: Окружающий мир,
автор: Sans12345666
Предмет: Другие предметы,
автор: makar28
Предмет: Русский язык,
автор: Gasanov5657
Предмет: Алгебра,
автор: Kypkyma