Предмет: Алгебра, автор: zverkovmatvej648

Решите пожалуйста :(((((​

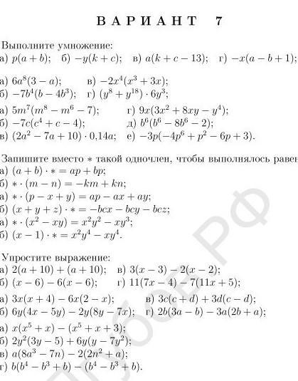
Приложения:

Ответы

Автор ответа: CiGee
0
pa+b;-yk+c;-13ak+c;-1xa+b

18-a^9;28b^8;-6x^8;6y^29


Похожие вопросы
Предмет: Русский язык, автор: esmiralda
Прочитайте. Допишите пропущенные окончания, обозначьте
орфограмму.
С давних пор существовал мудрый обычай помощ_ (_______)друг другу при строительств_ (______) дома, жатв_ (______),покос_ (____) обработк_ (______) льна, прядени_ (______) шерст_ (________). Он до сих пор жив во многих деревнях Росси_ (______), известен всем славянским народам, существует
и у других народов в Европ_(_______),например в Венгри_(______), Нидерландах, Франци_(_____) и Ази_(______), поскольку человеческая жизнь без взаимопомощ_(________) и взаимоподдержк_(_______) немыслима.
Упоминание об этом важном для крестьянской жизн_(_____) обыча_(____) мы нередко находим в литератур_(______).
(По О.Кармаковой)

2)Подчеркните зелёным те существительные, которые имеют только форму единственного числа, красным- те, которые имеют только форму множественного числа.
3) Обведи предлоги, которые употребляются только с одним падежом - предложным или родительным.
Предмет: Технология, автор: серж0107
Предмет: Обществознание, автор: HOCOK9000
В тексте говорится о двуединстве общего и индивидуального как об одном из внутренних источников формирования личности. Поясните этот вывод одним из примеров.
Текст:
«Индивидуальность означает отграниченность, неповторимость личности, т. е. способность к самостоятельной жизни, к саморегулированию, к сохранению своей устойчивости. Человеческая индивидуальность, отличаясь такими признаками, как целостность, обособленность, неповторимость, автономность, свобода, наличие внутреннего „Я“, творчество, в то же время не только не означает разобщенности человека и общества, но, напротив, создает основу для их более глубокого единства. <…>
Уникальность, неповторимость личностей, взаимодополнение друг друга своими особенностями есть один из факторов успешного развития подлинно гуманного гармоничного общества. Индивидуализация является одним из моментов, связывающих людей. Известно, что взаимодействие вообще оказывается крепким, если в «другом» предмет находит дополнение самого себя, то, чего ему как таковому не хватает. Поэтому чем более развита индивидуальность, самостоятельность, инициатива, творчество каждого человека, тем богаче и сильнее общество в целом. <…>
Всякое проявление жизни индивида является проявлением и утверждением общественной жизни. Индивидуальная и общественная жизнь не отличны принципиально друг от друга, а выступают как две стороны жизни одного человека. <…>
Таким образом, неправомерно толкование индивидуального как только единичного и неповторимого. Определяя индивидуальность, мы делаем лишь акцент на том, что отличает людей друг от друга. Определяя личность, подчеркиваем общие, типические черты. <…>
Индивидуальность, которая, как уже отмечалось, может свободно развиваться лишь во взаимодействии с другими людьми, когда каждый человек дополняет, продолжает, обогащает благодаря своим особенностям другого человека, ничего общего не имеет с индивидуализмом. Индивидуализм означает противопоставление человека обществу, отношение к другим людям как к средству своего частного существования. Эта разорванность общества и личности, как правило, обращается против самого человека. Таким образом, в индивидуалистической интерпретации другой человек есть граница «для меня», в условиях развитых коллективистских отношений каждый другой есть не граница, а продолжение и дополнение «меня самого»