Предмет: Алгебра, автор: kononovaevgenia29

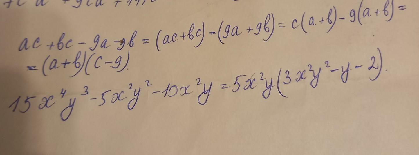
7 класс Запиши ответы Вынеси общий множитель за скобки. 1 ас - bc — 9а — 9b — L қ 2 215r+y3 – 5.r’y? – 10x²y = у? - 522 ТЕ За скобки выносится наибольший общий множитель.​

Приложения:

Ответы

Автор ответа: Dmitry1986
2

Вложение фото решения, ответа.

Приложения:
Похожие вопросы
Предмет: Английский язык, автор: гульзахра
Предмет: Қазақ тiлi, автор: unicorn511
Напишите на казахском кратко про что этот рассказ, и чему он учит. Срочно!!!!

Үнді жұртының бір адамы бір жақтан үйіне қайтып келсе, үйдің қасындағы ағаштың басына кептіруге іліп қойған еті жоқ. Ағаштың айналасын әбден жүріп, қарап болған соң, орамға шығып жолай дауыстап сұрайды:
- Аласа бойлы, қолында қыскантақ мылтығы бар, соңында тарақ-құйрық кішкентай иті бар, бірі қарт адам көрдіңіз бе? - деп. Бұл кісіні әркім көрген екен, сілтеумен барып тауып ұрысын ұстапты-мыс. Ауылдас адамдары үндіден «ұрының түсі-түгін қайдан білдіңіз» деп сұрасыпты. Сонда үнді айтты дейді:
- Ұрының аласа бойлы екенін білгенім, менің қолыммен ілген етімді, ол ағаштан аяғының астына тас қойып, соның үстіне шығып алыпты. Қарт екенін білгенім, жүргендегі ізінен байқадым - адымының арасы тым жақын екен. Мылтығының қысқа екенін: етімді ұрларда, мылтығын ағашқа сүйеп қойған екен, сонда мылтықтың аузы ағаштың кішкене қабығын жырып кетіпті, жер мен сол жырылған қабықтың арасынан шамаладым. Ұрының
қасында иті бар екенін, және ол иттің өзі кішкентай, құйрығы тарақ-кұйрық екенін білгенім, етімді ұрлап жатқанда, ит анадай бір кұмайтырақ жерде отырған екен; соның құмға түсіп қалған ізінен, және былғаңдатқан құйрығының табынан байқадым депті-міс.